WWWFinance
Project Evaluation
Copyright 1995 by Campbell R.
Harvey. All rights reserved. No part of this lecture may be reproduced
without the permission of the author.
1. Introduction
We have assumed that the firm
selects positive net present value projects. Our concern was
with the financing of the investment projects in terms of
the capital structure of the firm and the allocation of
cash flows via the dividend decision. In this lecture,
we examine in some detail what goes into the decision
to accept an investment project. We will apply the technique
of net present value and develop some rules known as
capital budgeting.
There are four basic rules for calculating net cash flows. First,
use inflows and outflows of cash when they occur -- avoid using
"accounting variables".
Second, use after-tax net cash flows.
Third, use only cash exchanges. In general, it is not appropriate
to include opportunity costs. Fourth, discount after-tax cash flows
at the after-tax interest rate.
Some of the common mistakes in capital budgeting are also highlighted.
These include mixing real and nominal cash flows, ignoring embedded options
in the project, and ignoring the shadow cost of management time to run or
oversee the project.
Different appraisal methods are then examined. There is some discussion
of decision trees and Monte Carlo simulation in project evaluation.
Finally, I close with a brief discussion of mergers and acquistions.
2. The Cash Flows that Should be Included in NPV Calculations
The net present value of a project can be represented as:
NPV(project) = PV(with project) - PV(without project)
Let's consider an example of this type of calculation.
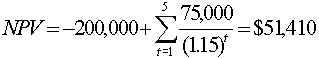
Example
A large manufacturing firm is
considering improving its computer facility. The firm currently has a
computer which can be upgraded at a cost of $200,000. The upgraded
computer will be useful for 5 years and will provide cost savings
of $75,000 per year. The current market value of the computer
is $100,000. The cost of capital is 15%. Should the computer be
upgraded?
Solution
The alternatives available to the manufacturing firm are: (1) do
not upgrade the computer or (2) upgrade the computer. The NPV
of upgrading is:

The net present value is positive. This means that the firm
should go ahead with acquisition. Notice that the market
value of the computer is not included. It is irrelevant
for the upgrading decision. Further note that a number
of simplifying assumptions have been made such as a constant
discount rate and zero tax rate.
Let's be more precise about the capital budgeting decision.
First, we need to introduce some notation.
- R_t = $ cash revenue in time t
- E_t = $ cash expenses in time t
- TAX_t = $ taxes in time t
- D_t = $ depreciation in time t
- T = $ average and marginal tax rate
- I_t = $ Investment in time t
- S_t = $ Salvage value in time t
The net cash flow in period t is:
X_t= R_t - E_t - TAX_t - I_t + S_t
Taxes are defined to be:
Tax_t = T × (R_t - E_t - D_t)
Substituting the expression for taxes into the first equation
yields:
X_t = (1-T) × (R_t - E_t) + (T × D_t) - I_t + S_t
Note that we are making a number of simplifying assumptions
about the taxation. In an real world application, one would
want to consider (1) carry forward and carry back rules, (2)
investment tax credits, (3) sufficiency of taxable income,
and (4) special tax circumstances (e.g. mining and petroleum).
3. Inflation and Capital Budgeting
Inflation can have a major impact upon the capital budgeting
decision. At one level, the expectation of inflation is
captured in the nominal interest rate. The discount rate
that we use in evaluating the present value of a project
is a function of the nominal interest rate as well as the
risk of the cash flows. The real rate of interest (nominal
interest rate less expected inflation) is less volatile
than the nominal rate. At another level, the cash flows of
the project could be affected by the inflation rate.
If nominal interest rates reflect expected inflation,
then we should make sure that the cash flows that we are discounting
also reflect expected inflation. There are two alternatives available.
First, use nominal cash flows and nominal discount rates for the
capital budgeting decision. Second, use real cash flows and
real discount rates. It is simple to show that discounting nominal cash flows with the nominal rate
is equivalent to discounting real cash flows with a real rate.
If you mix real cash flows with the
nominal rate or vice versa, then net present value will
be incorrect. This could lead one to accept an investment
project when you have rejected it.
There are some why the net cash flows may not grow at the
inflation rate. The first reason has to do with the depreciation
tax shield. Remember that:
X_t = (1 - T) × (R_t - E_t) + (T × D_t) - I_t + S_t
It is possible that R_t, E_t, I_t and S_t all grow at
the inflation rate. However, the depreciation, D_t is nominally
fixed which means that it does not grow with inflation. As a
result, it is unlikely that the cash flows grow at the rate of
inflation. The second reason has to do with relative price changes.
The inflation rate captured in the interest rate reflects average
inflation in the economy. But the prices of different goods change
at different rates. As a result, if the prices of the goods that are
reflected in the cash flows of the firm could rise faster or slower
than the average rate which is captured in the interest rate.
4. Applications
4.1 Example 1 (Ross-Westerfield)
(a) Suppose a firm is considering an investment of $300,000 in an
asset with a useful life of five years. The firm estimates that the annual
cash revenues and expenses will be $140,000 and $40,000, respectively. The
annual depreciation based on historical cost will be $60,000. The required
rate of return on a project of this risk is 13%. The marginal tax rate is
34%. What is the NPV of this project?
(b) The 13% required rate of return is a nominal required return including
inflation. Suppose the firm has forgotten that revenues and expenses are
likely to increase with inflation at a 5% annual rate. Recalculate the NPV.
Is this a more attractive proposal now that inflation has been taken
into account.
Solution (a)
Calculate the after-tax cash flows:
Year 1 Year 2 Year 3 Year 4 Year 5
Cash Revenue 140,000 140,000 140,000 140,000 140,000
Cash Expenses 40,000 40,000 40,000 40,000 40,000
Depreciation 60,000 60,000 60,000 60,000 60,000
Taxes Paid 13,600 13,600 13,600 13,600 13,600
After-tax Cash 86,400 86,400 86,400 86,400 86,400
Calculate the PV of the cash flows:

We could also work this out as:

The PV of the cash flows is $303,889. The initial outlay is $300,000
so the NPV of the project is $3,889.
Solution (b)
Calculate the after-tax cash flows:
Year 1 Year 2 Year 3 Year 4 Year 5
Cash Revenue 147,000 154,350 162,068 170,171 178,679
Cash Expenses 42,000 44,100 46,305 48,620 51,051
Depreciation 60,000 60,000 60,000 60,000 60,000
Taxes Paid 15,300 17,085 18,959 20,927 22,954
After-tax Cash 89,700 93,165 96,804 100,624 104,634
Calculate the PV of the cash flows:

The PV of these cash flows is $337,938. With the initial outlay of $300,000,
the NPV is $37,938. The project is far more attractive now.
4.2 Example 2 (Ross-Westerfield)
You have been asked to value orange groves owned by the Roll Corporation.
The groves produce 1.6 billion oranges per year. Oranges currently sell
for $.10 per 100. With normal maintenance, this level of production
can be sustained indefinitely. Variable costs (primarily upkeep and harvesting)
are $1.2 million per year. Fixed costs are negligible. The nominal discount
rate is 18%, and the inflation rate is 10%. Assuming that orange
prices and the variable costs move with inflation, what is the value of the
orange groves (ignore taxes and depreciation).
Solution
First, the current cash flow is 1.6 billions oranges at $.001 each less
$1.2 million in costs, or $.4 million per year. At this point,
it is tempting to treat the $.4 million as a perpetuity and divide it by
.18 to calculate the value. This would be a mistake. The $.4 million
does not reflect future inflation. The 18% discount rate \underbar{does} reflect
inflation. The mistake would be dividing a real cash flow by the nominal rate.
To be consistent, we need to use either
the real cash flows and the real discount rate or
the nominal cash flows and the nominal
discount rate. Let's do
both.
The real discount rate is

The value of the perpetuity is:

The nominal discount rate is 18%. The nominal cash flows are
growing at a constant rate of 10% per year. Next year's cash
flow is .4 × 1.1=$.44 million.
The present value is

This uses the formula of the present value of a growing perpetuity.
If we are assessing the present value (at time t=0 of some cash flows that grow
at a constant rate g and the discount rate is k, the
formula is:

4.3 Example 3 (Ross-Westerfield)
The Trout Corporation is deciding whether or not to introduce a new
form of aluminum siding. Projected sales, total new net working capital (NWC)
requirements and capital investments are:
Year Sales('000) NWC('000) Capital('000)
0 0 400 20,000
1 5000 500
2 600 500
3 9000 700
4 10,000 700
5 10,000 700
6 10,000 700
Variable costs are 60% of sales, and fixed costs are negligible. The
$20 million in production equipment (capital investment CI)
will be depreciated straight-line
to $0 over 5 years. It will actually be worth $10 million in six years.
If 10% is the required return, should Trout proceed. The corporate
tax rate is 34%.
Year 0 Year 1 Year 2 Year 3 Year 4 Year 5 Year 6
Sales 5000 6000 9000 10000 10000 10000
Costs 3000 3600 5400 6000 6000 6000
Deprec. 4000 4000 4000 4000 4000 0
Operating
Cash Flow 2680 2944 3736 4000 4000 2640
NWC 400 100 0 200 0 0 -700
CI 20000 -6600
Capital
Required 20400 100 0 200 0 0 -7300
Cash
Flows -20400 2580 2944 3536 4000 4000 9940
Notice that I am assuming that Trout can take full advantage of the
depreciation tax shield. Notice also that the capital equipment is
worth $10 million in year 6. When it is sold, the after tax revenue
is $6.6 million.
The present value of the future cash flows is $18.261 million.
The total initial outlays is $20.4 million. So the NPV of this
project is -$2.139 million. Hence it should be
rejected.
4.4 Example
The WWW company is cash rich and is looking to take over another firm.
The required rate of return that investors in WWW demand is 18%.
Three potential takeover possibilities exist. The first firm (code named
by its industry group) is Leisure Inc. This firm has the ability to deliever
net after tax cash flows of $100,000 in the first year and a growth rate
of 6% indefinitely. The second firm is Graphics Inc. Graphics can deliver
$140,000 in the first year and a 4% growth rate thereafter. Finally,
Paint Inc. will deliver $120,000 in the first year and 5% growth
indefinitely. The expected return on the market is 13%. The risk free
rate is 7%. The betas for Leisure, Graphics and Paint are 1.16,
1.64 and 0.70 respectively. All of these firm should be able to be
taken over for $1 million. Which one do you choose?
Solution
First, calculate the expected (required rates) of return on each
of these firms. Using the CAPM:
Division Beta Required Return
Leisure 1.16 .07 + 1.16[.13 - .07] = 13.96%
Graphics 1.64 .07 + 1.64[.13 - .07] = 16.84%
Paint 0.70 .07 + 0.70[.13 - .07] = 11.20%
Now calculate the present values of the cash flows.

The highest net present value is found with Paint Inc.
5. Appraisal Rules
Throughout this course, we have stated that the value of the
asset is the discounted present value of the asset's cash flows.
We have assumed that the net present value rule is the
only rule that should be considered. In fact, businesses use many
other rules to evaluate investment projects. Sometimes these
rules give the correct evaluation (consistent with NPV). But
it is possible that these other rules yield an incorrect assessment
of the worth of an investment project.
There are two type of projects that we will be considering. The
first category is independent projects. This means that accepting
one project does not affect decisions about the other project. The
second category is mutually exclusive projects. This means
that only one of a given set of projects can be taken (e.g. different
sized factories).
The purpose of this lecture is to compare the other techniques to
the present value rule. These other techniques are: (1) Internal
Rate of Return, (2) Payback, (3) Discounted Payback, (4) Profitability
Index. The bottom line is to always use net present value. Given that
you work at a firm that uses one of the four alternative techniques,
you have to know what is wrong with these techniques if you are
going to sell the firm on net present value as the only capital
budgeting rule.
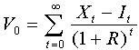
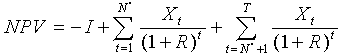
5.1 Why Net Present Value is the Dominant Rule
Suppose we are evaluating an investment project. The NPV rule
tells us that the project should be accepted. But one of the
alternative rules tells us that the project should be rejected.
The correct investment decision maximizes the market value of
the firm. The initial market value of the firm is:

$$V_0=\sum_{t=0}^{\infty}{X_t-I_t\over (1+r)^t}$$
where X_t represents the gross cash flows from investment projects
and I_t represents the costs of the investment projects. All
of the variables are after-tax measures.
Now consider X_{j,t} and I_{j,t} to be the incremental
after-tax net cash flows associated with candidate project
j. The value of the firm with the project is:

The candidate project should be accepted if:

Writing this out in terms of the definitions of the values:

This implies:

This is just the Net Present Value rule for project j. Hence,
the NPV rule always provides the correct investment decision.
5.2 Internal Rate of Return
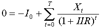
The internal rate of return is:

The IRR is the interest rate that makes the value of the
discounted cash flows equal to zero. The project selection rule
is:

The rate R delivers the net present value. If the discount rate
is higher than R and the discounted value is non-negative, then
one would think that the IRR rule is delivering a similar evaluation
as Net Present Value. In fact, IRR can be consistent with NPV.
If the cash flows are normal and the term structure is
flat, then the IRR should given the correct evaluation for
independent projects. Consider the graphical representation:

Now let's consider when this rule breaks down:
5.2.1 Evaluation of Borrowing
Consider the following investment project.
Period Cash Flow
0 1000
1 -1500
This project can be thought of as borrowing. Now consider
solving for the IRR.

We can safely assume that the IRR is greater than R. The rule suggests that
we should accept this project. Clearly, this is an incorrect
evaluation.
5.2.2 Multiple Rates of Return
It was mentioned earlier that the internal rate of return rule
worked for normal cash flows and a flat term structure.
Consider an example of non-normal cash flows.
Period Cash Flow
0 -100
1 310
2 -220
Note that the cash flows switch sign from year to year. Now consider
solving for the IRR.

There are two solutions to the IRR. At 100%, the IRR tells us
to accept the project. At 10%, it is unclear what the IRR is
telling us. We need to know what the discount rate for the firm is.
If the discount rate is less than 10%, then the IRR is telling us
to accept and the NPV is telling us to reject. If the discount rate is
greater than 10%, then the NPV is telling us to accept and the
IRR is telling us to accept and reject.
Now consider a different set of cash flows.
Period Cash Flow
0 100
1 -310
2 220
Note that the cash flows switch sign from year to year.
In this case, they are positive, negative and positive.
Now
solve for the IRR.

The IRR again gives us two solutions. If the firm's discount rate is
less than 10%, then the NPV rule tells us to accept and both
the IRRs also tell us to accept. If the firm's discount rate is
greater than 10% but less than 100%, the NPV rule tells us
to reject but we get conflicting advice from the IRR rule.
5.2.3 Undefined IRR
Consider the following cash flows:
Period Cash Flow
0 100
1 -200
2 150
To solve for the IRR, set x=1/(1+R). To get the IRR, we need to
solve for an x that satisfies:

This is just a quadratic equation. We can solve for the roots
with the familiar formula:

where a is the coefficient on x^2 term, b is the coefficient
on x and c is the constant.

We cannot solve the square root of a negative number with a real
number. The solutions to the IRR are imaginary numbers.
This does not help us evaluate the worth of the project. We
cannot provide a graphical representation of the differences
between NPV and IRR here unless we use the complex plane.
Note in this particular case that the NPV is greater than zero for
all discount rates.
5.2.4 Non-Uniform Term Structure
Now we consider the possibility of a non-uniform
term structure. Suppose we are faced with the following cash flows
and one period interest rates:
Period Cash Flow Interest Rate
0 -1000 -
1 80 .20
2 80 .10
3 80 .04
4 80 .04
5 1080 .04
This just represents the cash flows from purchasing a five
year bond than pays an 8% coupon. The internal rate of
return is 8%. Now let's calculate the net present value
of cash flows.
Period Discount Present Value
1 80/1.2 66.67
2 80/(1.2)(1.1) 60.61
3 80/(1.2)(1.1)(1.04) 58.27
4 80/(1.2)(1.1)(1.04)^2 56.03
5 1080/(1.2)(1.1)(1.04)^3 727.36
Present Value of Inflows 968.94
Investment 1000.00
Net Present Value -31.03
In the case of the non-uniform term structure, the IRR is
not that meaningful of a measure.
5.2.5 Mutually Exclusive Projects: Scale Differences
Now we will consider the problems with using IRR to evaluate
mutually exclusive projects. Suppose you are evaluating
the investment project of building a new factory.
You have two options on the size the project. Below
is a calculation of the NPV and IRR.
Project Period 0 Period 1 IRR NPV
A -100 200 100% 82
B -10,000 15,000 50% 3636
Notice that the IRR rule tells us to accept project A and
the NPV rule tells us to accept project B. The IRR rule
can not distinguish between a $1 investment and a $1 million
dollar investment.
5.2.6
Mutually Exclusive Projects: Cash Flow Timing
The IRR is also problematic in that it does not tell us
anything about the timing of the cash flows. Consider the
following example of cash flows:
Project Period 0 Period 1 Period 2 NPV(10%)
A -1000 1100 0 0
B -1000 0 1210 0
The IRR rule will not be able to distinguish between
these projects. The IRR is 10%. For any discount rate,
below 10% the IRR tells us that both projects are acceptable.
But for any discount rate below 10%, project B has a higher
NPV than A. Note that project A's cash flows all come in
the first year whereas all of project B's cash flows come
in the second year. Graphically,

5.3 Payback
The payback is the N^* that satisfies:

The payback rule says to accept independent projects if

where N^c represents the life of the investment project.
Similarly, the payback rule says to accept the mutually
exclusive project that has the smallest N^*.
The most obvious problem with payback is that it ignores
the time value of money. Cash flows in year 10 are treated
as cash flows today. The rule will not in general give
the correct evaluation of a project.
5.4 Discounted Payback
The discounted payback is the N^* that satisfies:

The payback rule says to accept independent projects if

where N^c represents the life of the investment project.
Similarly, the payback rule says to accept the mutually
exclusive project that has the smallest N^*.
Any project with N^* < T has a positive NPV. Let's express
the NPV in terms of payback.

The second term in the NPV is ignored in the payback. This
term could represent very profitable cash flows. If you
are using payback, you may be excluding projects that have
positive net present value.
Now consider mutually exclusive projects. A lower $N^*$ does
not imply a higher NPV. Consider the following example.
Project Period 0 Period 1 Period 2 NPV(10%) N*
A -1000 1100 0 0 1
B -1000 0 1300 74.38 2
In this example, the discounted payback tells us to accept project A
but project B has a higher NPV.
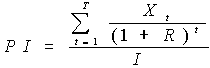
5.5 Profitability Index
The profitability index is defined as:

The rule says to accept projects that have:

Among mutually exclusive projects, accept the project
with the highest index which is greater than one.
There are no problems in using this rule for independent projects.

which is just another way to express net present value:

There are problems in using the profitability index to evaluate
mutually exclusive projects. The index ignores scale.
Consider the following example.
Project Period 0 Period 1 PI(10%) NPV(10%)
A -100 200 1.82 82
B -10,000 15,000 1.36 3636
The profitability index suggests that project A is superior to
project B. However, the net present value of B far exceeds that of
A.
6. Tax Considerations
We have already learned how to make
capital budgeting decisions for both riskless and risky projects:
Discount all the cash flows
by using appropriate discount rates.
For riskless or almost riskless projects, the
interest rates are sufficient.
For risky projects, we pair them with stocks that
are of the same risk levels and use
the
expected returns on the stocks as the discount rates.
However, this method works only
to all-equity financed firms, an
assumption we have implicitly made. This assumption is not true
in the real world.
What happens when firms
do have debt?
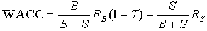
6.1 Weighted Average Cost of Capital
When a firm has debt and equity, it
has a cost of equity capital and a cost of debt capital. Let R_S
be the cost of equity capital and R_B be the cost of debt capital.
Let T be the tax rate.
The weighted average cost of capital (WACC)
is a weighted average of the after-tax rates

- If the firm is all-equity financed, B=0,
WACC=R_S, i.e., WACC is the cost of equity;
- If the firm is all-debt financed, S=0,
WACC=R_B(1-T), i.e., WACC is the
after-tax cost of debt.
We use the WACC for discounting a project's cashflow if and only if:
- The project and the firm have the same systematic risk
- The project and the firm have the same debt capacity
6.2 The adjusted-present-value (APV)
To capture the effect of debt-financing,
the WACC finds a new appropriate discount rate.
There is an alternative approach which
computes the NPV under all-equity assumption
and then adjusts it by the debt-financing effect.
As a result, this approach is called
adjusted-present-value technique or APV.
In formula, it states:
Adjusted PV = All-equity value + Additional effects of debt
APV is perhaps best understood by an example:
Example
A firm, with debt
and equity half each,
has an investment project
that costs $10 million today but generates after-tax
$2 million in perpetuity starting from next year.
Assume the firm's tax rate is 34%
and the cost of unlevered equity is 20%.
If the firm can finance the project
by borrowing $5 million at 10%.
What is the APV?
The NPV of the project if the firm were all-equity:
2
All-equity value = -10 + --- = 0
0.2
Now the PV of tax-shield is:
T × B × R_B
Additional effects of debt = ----------- = T × B = $1.7 million
R_B
Hence, the adjusted present value is
APV = 0 + 1.7 = $1.7 million
In general, the additional effects of debt include:
- floatation costs,
- tax shield from debt,
- effects of subsidized financing.
They can be adjusted one by one in the APV computation.
Often in the real applications, we
- Use WACC if the project is close to scale-enhancing
- Use APV if the project is far from scale-enhancing.
7. Additional Decision Tools
Decision trees are a convenient way of representing
sequential decisions over time in
an uncertain environment. This is best understood by
the attached example.
To make any estimate of cash flows over
the uncertain future periods, certain assumptions have to be made.
Optimistic assumptions often lead high cash flow estimates
whereas pessimistic assumptions often lead low estimates.
Sensitivity analysis examines how sensitive a particular
NPV
calculation is to changes in underlying assumptions. Similarly,
Scenario analysis examines how sensitive the NPV
calculation is to changes in
different likely scenarios.
Traditional NPV analysis identifies
the expected cash flows and discount them
according to their systematic risk.
An alternative and increasing popular approach
to project evaluation is Monte Carlo simulation.
Example
Suppose you are facing an investment
which cost $100 today, but generates cash flows for
the next two years. Assume the discount rate is 10%.
Step 1. Modeling

Step 2. Specifying Distributions for Cash Flows
We do not know the cash flows for sure,
but we can forecast them or make our best guesses.
Assume CF_1
and CF_2 follows normal distributions,
CF_1 has mean $70 with standard error $7
and CF_2 has mean $60 and
standard error $12. This implies that
$70 is the expected cash flow next year.
However, due to some uncertain economic conditions,
the actual cash flow next year will be different from
$70. But we believe it has about 68.26% chance to
be in $70 plus or minus $7 and 95.44% chance to
be in $70 plus or minus $14. Or if we take $70
as the forecasting value of CF_1,
we have 68.26% chance
of making 10% forecasting error and
95.44% of making 20% error.
Step 3. Draw Cash Flows from the Specified Distributions
A computer can be used to easily draw
CF_1 and CF_2 from two
normal distributions with means 70
and 60, standard errors
7 and 12 respectively.
Step 4. Compute the NPV
With cash flows drawn in Step 3, the NPV
is computed from the model of Step 1.
Step 5. Repeat 3 and 4 for a Specified Number of Times
Generally, hundreds or thousands repeated computations of
3 and 4 are required. 10,000 times would be a good choice for
many problems.
Step 6. Determine the Distribution of NPV
With the hundreds or thousands repeated computed values of NPV
from Step 5, we are able to determine the distribution
of NPV, in particular the mean and standard error. All this
is what we need for our decision making.
8. Real Options in Project Evaluation
8.1 Overview
These options available to management as
part of the project. They sometimes known as an operating options.
Example
Electric utility has choice of building a power
plant that:
- Burns oil
- Burns either oil or coal
Plant (1) is cheaper to construct.
Naive implementation of present value might
suggest that plant (1) be constructed. But while (2) costs more, it also provides greater
flexibility. Management has the ability to select which fuel to use and can switch back and forth depending on energy conditions. Proper implementation of present value analysis
(or discounted cash flow, DCF) must take
the value of this operating option into account.
8.2 Input Mix Options:
Electric utility problem is one example of an input mix option.
Many operating facilities (such as oil refineries
and chemical plants) can use different mixes
of inputs to produce same output.
8.3 Output Mix Options:
Some facilities can use the same inputs to produce different arrays of outputs.
8.4 Abandonment Options (or Termination Options)
Traditional capital budgeting assumes that a
project will operate in each year of its lifetime.
There are two type of options:
- Option to completely terminate
- Option to stop production temporarily
8.4.1 Temporary Stop Options
For many projects with production facilities, it may
not be optimal to operate a plant in a given year --
because revenue will not cover variable cost.
Explicit recognition of this type of flexibility
is critical when choosing among alternative
production technologies with different ratios of variable-to-fixed costs.
8.4.2 Permanent Stop Options
Abandonment option (or option to sell) is like an
American put option.
When present value of the asset falls below the liquidation
value, then sell asset.
Abandonment is like exercising the put option.
These options are particularly important for large capital intensive projects (such as nuclear plants).
They are also important for projects involving new products where their acceptance in the market is uncertain.

In short a project with liquidation possibility is worth more than
project without possibility of abandonment.
8.5 Intensity Options:
Closely related to the Abandonment Options.
Intensity Options are the flexibility to expand or
contract the scale of the project.
Examples--
- Change output rate per unit of time.
- Change total length of production run time.
8.5.1 Option to Expand
Build production capacity in excess of expected level of output (so it can produce at higher rate if needed).
Management has the right (not the obligation to expand).
If project conditions turn out to be favorable, management will exercise this option.

Project with option to expand is worth more than
project without possibility of expansion.
8.5.2 Option to Contract
This is the equivalent to a put option. Many projects can be engineered in such a way that output can be contracted in future. Example--modularization of project.
Forgoing future expenditures is equivalent to exercising the put option.

Project with option to contract is worth more than
project without possibility of contraction.
8.5.3 Option to Expand or Contract (Switching Option).
This is the most general situation. It is equivalent to the firm having a portfolio of call and put options.
Restarting operations when project currently shut down is a call option.
Shutting down is a put option.

Project whose operation can be dynamically turned on
and off (or switched to two distinct locations) is worth
more than the same project without the flexibility to
switch.
A flexible manufacturing system (FMS) is a good
example of this type of option.
Other examples--
- Choose plant with high maintenance costs relative to construction costs. Management gains the flexibility to reduce the life of the plant and contract the scale of project by reducing expenditures on maintenance.
- Build plant whose physical life exceeds the expected duration of use (thereby providing the firm with the option of producing more by extending life of project).
8.6 Initiation Options
Just as Abandonment Option is valuable, so is the option to initiate the project.
Example:
Purchaser of off-shore lease can choose when,
if at all, to develop property. This option has significant value. If U.S. government required immediate development of leases:
- Prices paid for leases would decline
- Some leases would not be purchased at all.
Also, true for exploration in general.
If natural resource companies were committed
to produce all resources discovered, then they
would never explore in areas where the estimated extraction cost exceeded the expected future price at which the resource could be sold.

8.7 Sequencing Options
Important strategic issue is the sequencing of projects. For example,
Successful marketing of consumer products often requires "brand name."
Suppose a firm is evaluating projects to produce a number of consumer products. It may be advantageous to implement projects sequentially rather than in parallel.
Pursuing the development of a single product,
the firm can resolve some of the uncertainty surrounding its ability to establish "brand name."
Once resolved, management has the option to
proceed or not with the development of the other projects.
If taken in parallel, management would have already spent the resources and the value of the option not to spend them is lost.
8.8 Intra vs. Interproject Options:
The sequencing option was an interproject option. That is, the sequencing of projects creates options on one or more projects as the direct result of undertaking another project.
Old-style capital budgeting will miss this option because projects evaluated on stand-alone basis.
Ignoring interproject options, could lead to significant undervaluation of projects.
Extreme case example is R&D: The source of value is the options created to undertake other projects.
Interproject options are created whenever management makes an investment that places the firm in a position to use new technology to enter a different industry.
8.9 Present Value of Growth Opportunities:
Value of the firm can exceed the market value
of the projects currently in place because the
firm may have the opportunity to undertake
positive NPV projects in the future.
Standard method is to establish the present
value of these projects based on anticipated
implementation dates.
But this implicitly assumes that the firm is
committed to go ahead with the projects!
However, management need not make such
a commitment.
Standard valuation methods ignore the option
not to go forward.
8.11 Shadow Costs:
Ignoring options usually causes undervaluation of projects.
Some projects may have little or no option component. However,
standard valuation techniques may overvalue these projects by failing
to recognize losses in flexibility to the firm that result
from implementation.
8.12 Financial Flexibility:
Choice of capital structure can affect value of
project. Like operating flexibility, financial flexibility can be measured by the value of the financial options made available to the firm by its choice of capital structure.
Interaction between financial and operating options can be strong -- especially for long-term investment projects with a lot of uncertainty.
The option valuation framework is particularly useful to the corporate strategist because it provides an integrative analysis of both operating and financial options associated with the combined investment and financing decisions.
Practical Examples 1: Oil Extraction
Valuation of heavy oil asset. Deferral options are critical.
In addition, production could be phased in over time.
Conventional NPV will significantly undervalue these
assets.
Two operating options important:
Option to defer and
the option of deferring expansion program.
In this case, the strike price was $20 per barrel.
Practical Examples 2: Precious Metal Mining
Four silver production sites, each with different layout and extraction technologies.
Price of silver has been very volatile.
To value firm based upon forecasts of silver prices
(traditional NPV approach) could grossly underestimate the value.
Value enhanced by: (i) Operational flexibilities and (ii)
Switching options (shut down, reopening, abandonment).
Insight gained into the opening-up and shutting-down decision.
Given the mine was open, it was optimal to keep it open even when the marginal revenue from a ton of output was less than the marginal cost of extraction.
Intuitively, the fixed cost of closing an operation might be needlessly incurred if the price rose in the future.
Opposite for the closing-down decision. Due to the cost of reopening the mine, the optimal decision might be to keep it closed until the commodity price rose substantially above the marginal cost of production.
Practical Examples 3: Pharmaceutical R&D
A drug company needed to value a new drug research
and development project.
Four development phases:
- initial R&D with 20% chance of success
- clinical testing, with 50% chance of success
- ing I, with 40% chance of success
- ing II, with a 90% chance of success.

Lessons from Real Options
- Ignoring options can destroy firm value (projects may be rejected that should be accepted)
- Options are to be found in every aspect of the firm's operations
- Options need to be recognized -- and valued properly.
9. Mergers and Acquisitions
9.1 The Basic Forms and Types of Acquisitions
There are three basic legal forms about corporate
acquisitions:
- Merger or Consolidation
- With a merger, one firm absorbs another.
The acquiring firm retains its name and identity, but
the acquired firm ceases to exist.
- With a consolidation, a new firm is created.
Both firms involved terminate their previous legal existence.
- Acquisitions of Stock
- A firm buys another firm's voting stock
in exchange for cash, stock, or other securities.
This is often done by a tender offer, a public offer
to buy the stocks directly from shareholders.
- Acquisitions of Assets
- A firm can buy another firm by
purchasing the assets of the target firm.
Given that we have three approaches
to acquire a firm, which one should we use?
What are the advantages and disadvantages?
- Merger or Consolidation
- + legally simple.
- + Relatively inexpensive, no transfers of titles necessary.
- - All liabilities assumed, including potential litigation.
- - 2/3 of shareholders (most states) of both firms
must approve.
- - Dissenting shareholders can sue to receive
their `fair' value (`appraisal rights')
- Acquisitions of Stock (tender offer)
- + No shareholder meetings or votes necessary
- + Bidder can bypass management and go directly
to shareholders.
- - Resistance by the target firm's
management makes the process costly.
- - Often a minority of shareholders
hold out.
- Acquisitions of Assets
- + Only needs
50% of shareholders' approval,
thus avoiding dissident minority shareholders.
- - transfers of assets may be costly in
legal fees.
Corporate
acquisitions not only have the above
three legal forms, but also have three economic types:
- Horizontal Acquisition
- Acquisition of a firm in the same industry
as the acquiring firm.
- Vertical Acquisition
-
Acquisition of a firm at a different step
of production from the acquiring firm. For example, the ill-fated strategy of
Kodak acquiring Sterling Drugs.
- Conglomerate Acquisition
-
Acquisition of a firm
in unrelated business.
Now we make a remark on a more general concept, takeovers.
A takeover is the transfer of control of a firm
from one group to another. It can occur by
an acquisition (as described above), a proxy contest, or
a going-private transaction. In a proxy contest, a group
of dissident shareholders seeks to obtain enough proxies
from the firm's existing shareholders in order to gain control
of the board of directors. In a going-private transaction,
a small group of investors buys all of the firm's common stocks,
which later are delisted and are
no longer be purchased in the open market.
9.2 Reasons for Mergers and Acquisitions
The primary motivation for most mergers
and acquisitions is to increase the value of the combined
enterprise. That is the whole is worth more
that the sum of the parts. This is often called "synergy".
Where does the synergy profits come from?
- Economies of scale
- Share costly equipment, facilities and personnel,
reduce the cost of flotation.
- Acquire valuable technologies and resources
- For example, many oil company
acquisitions took place because it was cheaper to buy existing reserves
than to explore new ones.
- The target company is undervalued
- The target firm's management may not operating the firm to
its full potential, leaving room for another firm to takeover
and realize the value. Alternatively, the acquiring firm
may have insider information on the target firm
which leads them to believe the firm has a value higher
than the current market value. For example, it is now common
to see `expert' on TV giving estimates of a company's
break up value. If this exceeds the company's market value,
a takeover specialist could acquire the firm
at or somewhat above the current market value, sell
it off in pieces, and earn a substantial profit.
- Tax considerations
- A firm with large tax loss carry-forwards
may be attractive to another firm that can use the tax benefits.
However, IRS may disallow the use of tax loss carry-forwards
if no business purpose for the acquisition is demonstrated.
Furthermore, under 1986 Tax Reform Act, the carry-forwards
is limited.
- Some firms which have unused debt capacity
may make them acquisition candidates. The acquiring firm
can deduct more interest payments and reduce taxes.
For example, this was cited as the logic
behind the proposed merger of Hospital Corporation of
American and American Hospital Supply in 1985.
Insiders said the combined company could increase debt by $1 billion.
- Inefficient management of the target company
- Management could be bad relative to
others in the same industry, leading to a horizontal merger.
Or, it could be bad in absolute sense, leading to
a conglomerate merger. Anybody can come in and do better.
- Market power
- One firm may acquire another to
reduce competition. If so, prices can be increased and monopoly rents
obtained. However, mergers that reduce competition
may be challenged by the US Department of Justice
and the Federal Trade Commission.
- Diversification
- A cash rich company may use the cash for
acquisitions rather than to pay it out as dividends.
A frequent argument for this is that it reduces the investor's risk
in the company, thus achieving diversification.
However, investors can diversify on their own, likely more easily
and cheaply than can the company.
After mentioning so many possible sources for
synergy,
in practice, what are the gains or losses from acquisitions?
According to a study
by Jensen and Ruback, shareholders
earn 30% abnormal returns for successful tender offers.
In general, successful
takeovers lead to gains for shareholders of both firms, but
those of the target firm obtain substantially more;
for unsuccessful
takeovers, shareholders on both sides lose.
9.3 Tactics which deter unfriendly takeovers
Many takeovers are agreed upon by both parties.
These are called friendly takeovers.
But there are also many that go over the management
directly to shareholders. These
are hostile takeovers. They can be done by a proxy fight,
seeking the right to vote someone else's shares in a
shareholders' annual meeting. Alternatively, the acquirer can make
a tender offer directly to the shareholders.
The management of the target firm may advise its shareholders
to accept the tender or it may attempt to fight the bid.
This process resembles a complex game of poker, playing
under the rules
set largely by the Williams Act of 1968 and by the courts.
What are the strategies the management can take to
fight the battle?
- Pac-man Defense
- White Knight
- Lockup Defense
- Scorched Earth Defense
- Golden Parachutes
- Poison Pills
- Greenmail
- Create an Antitrust Problem
- Change the state of incorporation
- Stalling tactics
- Shark repellent charter amendements
- Dual class recapitalization
Of course, the best method to prevent an unfriendly takeover to take
actions to maximize shareholder value such as accepting positive
NPV projects and running the corporation as efficiently as possible.
Indeed, the benefit of an unfriendly takeover is often to purge the
inefficient management. Any of these antitakeover tactics could destroy
shareholder value if they are used to prolong the tenure of low quality
management.
Acknowledgements
Some of the material for this
lecture is drawn from Richard Ruback's note, "Applications of the
Net Present Value Rule" and Guofu Zhou's "Capital Budgeting".
BA 350 Index
Page
Campbell
Harvey's Home Page