WWWFinance

Asset Pricing and Risk Management

Copyright 1995 by Campbell R. Harvey. All rights reserved. No part of this lecture may be reproduced without the permission of the author.

Latest Revision: November 27, 1995.

1. The Derivation of the CAPM

In a world with all the assumptions made so far, all individuals should hold the market portfolio levered up or down according to risk tolerance. A person with low risk tolerance (high risk aversion) will have most of her money in the riskfree security while a person with high risk tolerance (low risk aversion) will be borrowing to finance the purchase of the market portfolio.

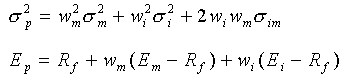
For an individual at her optimum portfolio, consider a small additional borrowing to finance a purchase of asset i.


Portfolio          Market     Asset i         Riskless

Optimum            w_m = 1    w_i = 0            0
Candidate          w_m = 1    w_i = 0 + D       -D

Let's consider the mean and variance of the optimal portfolio.

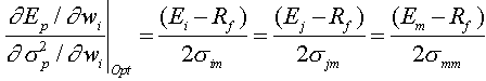
Next consider the derivative of the portfolio variance with respect to the weight in asset i:

At the optimum, we know that w_m=1 and w_i=0. So let's evaluate this derivative at these points:

Next consider the derivative of the expected portfolio return with respect to the weight in asset i:

At the optimum, the marginal change in portfolio expected return per unit of change in the variance must be equal for all securities (and the market portfolio m). This implies:

Cross multiplying we get:

This is the Capital Asset Pricing Model (CAPM).

Substituting beta for the ratio of the covariance to the variance, we have the familiar form:

This holds for all i.

2. Implementing the CAPM

In the previous section, we derived a relation between expected excess returns on an individual security and the beta of the security. We can write this as a regression equation. This is a special regression where the intercept is equal to zero.

This holds for all i. The beta is the covariance between the security i's return and the market return divided by the variance of the market return.

So the CAPM delivers an expected value for security i's excess return that is linear in the beta which is security specific. We will interpret the beta as the individual security's contribution to the variance of the entire portfolio. When we talk about the security's risk, we will be referring to its contribution to the variance of the portfolio's return -- not to the individual security's variance.

This relation holds for all securities and portfolios. If we are given a portfolio's beta and the expected excess return on the market, we can calculate its expected return. Finally, we have a tool which we can help us evaluate the advertisement presented in Optional Portfolio Control.

The ad that appeared in the Wall Street Journal provided data on Franklin Income Fund and some other popular portfolios. The returns over the past 15 years were:


	The Franklin Income Fund           516%
	Dow Jones Industrial Average       384%
	Salomon's High Grade Bond Index    273%


First, let's convert these returns into average annual returns:


	The Franklin Income Fund           12.9%
	Dow Jones Industrial Average       11.1%
	Salomon's High Grade Bond Index    9.2%


Note that the average annual returns are not nearly as impressive as the total return over 15 years. This is due to the compounding of the returns.

In order to use the CAPM, we need some extra data. We need the expected return on the market portfolio, the security or portfolio betas and the riskfree rate. Suppose that the average return on the market portfolio is 13% and the riskfree return is 7%. Furthermore, suppose the betas of the portfolios are:


	The Franklin Income Fund           1.000
	Dow Jones Industrial Average       0.683
	Salomon's High Grade Bond Index    0.367


These are reasonable beta estimates. The Dow is composed of 30 blue chip securities that are generally less risky than the market. Remember that the beta of the market is 1.00. Any security that has a beta greater than 1.00 is said to have extra market risk (extra-market covariance). The long-term bond portfolio has a very low market risk. If we had a short-term bond portfolio, it would have even lower market risk (beta would probably be 0.10). I have assumed that the beta of Franklin is slightly larger than the market. The Franklin Growth Fund probably has a beta that is much higher because growth stocks are usually small and have higher market risk. Income stocks are usually larger and have market risk about equal to the market or lower.

Now let's calculate the expected excess returns on each of these portfolios using the CAPM.


The Franklin Income Fund           13.0% = 7% + 1.000 x (13% - 7%)
Dow Jones Industrial Average       11.1% = 7% + 0.683 x (13% - 7%)
Salomon's High Grade Bond Index     9.2% = 7% + 0.367 x (13% - 7%)


Note that the expected returns for the Dow and the Salomon Bonds were exactly what the actual average returns were. Note also that the expected return on the Franklin Income Fund was higher than what was realized. The market expected 13% performance and the Fund delivered 12.9%. The difference between the expected performance and the actual is called the abnormal return. The abnormal return is often used in performance evaluation.

So now we have a powerful tool with which to calculate expected returns for securities and portfolios. We can go beyond examination of historical returns and determine what the risk adjusted expected return for the security is.

3. Characteristics of Betas

To get a deeper insight into risk, consider the estimation of the beta coefficient from an ordinary least squares regression:

In this regression, the beta is the ratio of the covariance to the variance of the market return. The alpha is the intercept in the regression. This is not the CAPM equation. This is a regression that allows us to estimate the stock's beta coefficient. The CAPM equation suggests that the higher the beta, the higher the expected return. Note that this is the only type of risk that is rewarded in the CAPM. The beta risk is referred to in some text books as systematic or non-diversifiable or market risk. This risk is rewarded with expected return. There is another type of risk which is called non-systematic or diversifiable, non-market or idiosyncratic risk. This type of risk is the residual term in the above time-series regression.

The asset's characteristic line is the line of the best fit for the scatter plot that represents simultaneous excess returns on the asset and on the market.

This is just the fitted values from a regression line. As mentioned above, the beta will be the regression slope and the alpha will be the intercept. The error in the regression, epsilon, is the distance from the line (predicted) to each point on the graph (actual).

The CAPM implies that the alpha is zero. So we can interpret, in the context of the CAPM, the alpha as the difference between the expected excess return on the security and the actual return. The alpha for Franklin would have been -.10 whereas the alpha for both the Dow and the Salomon Bonds were zero.

4. IBM's Alpha and Beta

Any security's alpha and beta can be estimated with an ordinary least squares regression. I have provided some results for IBM from 1926--1994. The returns data comes from the Center for Research in Security Prices (CRSP) and the riskfree return is the return on the one month Treasury Bill from Ibbotson Associates. This type of regression is usually estimated over 5 year sub-periods if the data is monthly. The market index used is the CRSP value weighted NYSE stock index. Value weighting means that stock i is given a weight equal to the market value of the stock of i divided by the market value of all securities on the NYSE.

Usually, this type of regression is estimated over 5 year sub-periods. I have provided estimates over the entire time period and some shorter subperiods. The results are summarized below.



       Time     alpha   t-stat  beta   t-stat    R^2


     1926-95    .0076    4.3    0.79    25.5    .48
    
     1926-35    .0148    2.8    0.79    14.4    .64    
     1936-45    .0058    1.6    0.49     8.4    .37    
     1946-55    .0080    1.9    0.83     7.5    .33    
     1956-65    .0091    2.2    1.39    11.6    .53    
     1966-75    .0040    0.9    0.89    10.2    .47    
     1976-85    .0017    0.4    0.82     9.1    .41    
     1986-95   -.0011    0.5    0.93     8.1    .39    

     1971-75   -.0019   -0.3    0.88     7.2    .47    
     1976-80   -.0043   -0.9    0.87     8.0    .52    
     1981-85    .0075    1.3    0.77     5.3    .33    
     1986-90    .0035    0.9    0.89     4.3    .37    
     1990-95   -.0045    0.8    0.97     6.3    .43    


The results indicate that the beta of IBM varied between .5 to 1.4 over the period examined. In recent years (from 1971), the beta has been around 0.9. Notice that in recent years that the alpha is indistinguishable from zero. This indicates that there has been no abnormal return from investing in IBM.

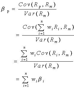
5. Portfolio Beta

The beta of an individual asset is:

Now consider a portfolio with weights w_p. The beta_p is:

The beta of the portfolio is the weighted average of the individual asset betas where the weights are the portfolio weights. So we can think of constructing a portfolio with whatever beta we want. All the information that we need is the betas of the underlying asset. For example, if I wanted to construct a portfolio with zero market (or systematic) risk, then I should choose an appropriate combination of securities and weights that delivers a portfolio beta of zero.

As an example of some portfolio betas, on the next page I include some average beta values for some industry portfolio. These betas are ranked by size. The industry with the highest beta was Air Transport and the lowest beta industry was Gold Mining.


             Industry                Beta

             Air transport           1.80
             Real Property           1.70
             Travel, outdoor rec.    1.66
             Electronics             1.60
             Misc. Finance           1.60
             Nondurables, entertain  1.47
             Consumer durables       1.44
             Business machines       1.43
             Retail, general         1.43
             Media                   1.39
             Insurance               1.34
             Trucking, freight       1.31
             Producer goods          1.30
             Aerospace               1.30
             Business services       1.28
             Apparel                 1.27
             Construction            1.27
             Motor vehicles          1.27
             Photographic, optical   1.24
             Chemicals               1.22
             Energy, raw materials   1.22
             Tires, rubber goods     1.21
             Railroads, shipping     1.19
             Forest products, paper  1.16
             Miscellaneous, conglom  1.14
             Drugs Medicine          1.14
             Domestic oil            1.12
             Soaps, cosmetics        1.09
             Steel                   1.02
             Containers              1.01
             Nonferrous metals       0.99
             Agriculture             0.99
             Liquor                  0.89
             International oil       0.85
             Banks                   0.81
             Tobacco                 0.80
             Telephone               0.75
             Energy, utilities       0.60
             Gold                    0.36

6. The Security Market Line

We have studied the Capital Market Line (CML) or the Investment Opportunity Set. This line related the expected return to the standard deviation. From the capital market line, we got one performance measure: the Sharpe measure. We will now consider another measure. The Security Market Line (SML) relates expected returns on assets to their non-diversifiable risks -- or their beta.

The Security Market line can also be written in terms of excess returns.

7. Tests of the CAPM

Let's review what we have learned so far. There is a statistical model that describes realized excess returns through time:

This type of model can be estimated with ordinary least squares regression. We assume that the expected value of the error is zero and that it is uncorrelated with the independent variable. We also took expected values of each side of this model:

which looks like the CAPM. But the asset pricing model that we developed imposes the following constraint on expected returns:

The security's expected excess return is linear in the security's beta. The beta represents the risk of security i in the market portfolio -- or the contribution of security i to the variance of the market portfolio. The beta risk is the only type of risk that is rewarded or priced in equilibrium. What makes the CAPM different from the statistical model is that the CAPM imposes the constraint that the intercept or alpha is zero.

We can also write the alpha in terms of actual and predicted returns. Portfolio i average excess return is:

The CAPM predicted excess return is:

So the alpha is:

Thus, the alpha measure risk adjusted performance of a security.

7.1 Time Series Tests of the CAPM

One test of the CAPM is to test whether the alpha of any security or portfolio is statistically different from zero. The regression would be run with available stock returns data. The null hypothesis is (the CAPM holds) is that the intercept is equal to zero. Under the alternative hypothesis, the intercept or alpha is not equal to zero. The standard test is a t-test on the intercept of the regression. If the intercept is more than 2 standard errors from zero (or having a t-statistic greater than 2), then there is evidence against the null hypothesis (the CAPM).

We have already seen the alpha coefficients for the IBM regression. Now consider Erb, Harvey and Viskanta "Expected Returns and Volatility in 135 Countries" In this paper, the authors regress country index returns on the Morgan Stanley World Market Portfolio. This is a world version of the Sharpe (1964) CAPM (Click here for the table). There are, however, potential problems with these tests.

7.2 Cross-Sectional Tests of the CAPM

The Capital Asset Pricing Model implies that each security's expected return is linear in its beta. A possible strategy for testing the model is to collect securities' betas at a particular point in time and to see if these betas can explain the cross-sectional differences in average returns. Consider the cross-sectional regression:

In this regression, R represents the returns of many securities at a particular cross-section of time and beta represents the betas on many firms.

According to the CAPM, gamma_0 should be equal to zero and gamma_1 should equal the expected excess return on the market portfolio. We can test this.

The first tests of the theory were carried out by Black, Jensen and Scholes (1972) and Fama and MacBeth (1973). Both of these tests were cross sectional tests. We will examine the Black, Jensen and Scholes (1972). Portfolios of stocks are created ranging from high beta portfolios to low beta portfolios. A cross sectional regression was run to see if the betas were able to explain the differences in the returns across securities.

The results are:

The t-statistics are in parentheses.

The CAPM theory suggests that gamma_0=0. The regression evidence provides evidence against that hypothesis. The CAPM theory also suggests that gamma_1>0 and is equal to the expected return on the market less the risk free rate. Over the period 1931--1965, the average return on the market less the risk free rate was .0142. The regression evidence suggested a coefficient of .0108. The evidence suggests that there is a positive trade off between risk and return -- but the gamma_1 coefficient is lower than expected.

As reviewed previously, there are many possible explanations as to why the data does not exactly support the CAPM. However, the CAPM is a benchmark that is often used in risk analysis.

8. Conditional Asset Pricing

We have examined the following pricing relation:

Where:

The pricing model implies that the market portfolio is mean-variance efficient. Note that the pricing relation is written in terms of unconditional expected returns and risk. That is, average risk is related to average expected returns.

The tests of the model that we have studied have worried about the assumption that the risk is constant through time. For example, in the tests of Fama and MacBeth, the betas were estimated over a five year period. Five years is the conventional window. It is thought that anything longer might be problematic -- because the beta may change.

The expected returns could also be changing through time. If expected returns were constant, and if we regressed an asset return at time t on a constant and a number of information variables available at time t-1, then only the intercept should be significantly different from zero. The fitted values in this regression (the expected returns) would then be a constant (the value of the intercept). However, if the information variables enter the regression with coefficients that are significantly different from zero, then the fitted values from the regression will not be constant. This implies that the expected returns are changing through time. We explore possibilities of allowing the risk and expected returns to change through time.

9. Conditional Tests and Asset Allocation

It is possible to write the asset pricing relation at the conditional level:

where the lower case r denotes returns in excess of a risk free return and Z denotes the information variables available to investors. The CAPM restricts the conditionally expected returns to be linearly related to conditionally expected excess returns on a market wide portfolio. The coefficient in the linear relation is the asset's beta or the ratio of the conditional covariance with the market to the conditional variance of the market.

We know that the expected returns on the asset change through time. It is likely that the conditional covariance of the asset and the market also changes through time (firm may change its business risk by investing in new projects).

Harvey "Time-Varying Conditional Covariances in Tests of Asset Pricing Models" (P3) and "The World Price of Covariance Risk" (P10) develops methodologies to implement asset pricing tests with time-varying covariances, variances and expected market premiums.

Ferson and Harvey "The Variation of Economic Risk Premiums" (P5) show that most of the predictability in portfolio returns is due to time-varying risk premiums (as opposed to the covariances and variances). These studies provide the foundation for the Global Tactical Asset Allocation course.

Tests of this formulation of the model are tests of whether the 'market' portfolio is conditionally mean-variance efficient. Think of the efficient frontier being drawn at every point in time. The model implies that the market portfolio is the tangency portfolio on every frontier through time.

The methodology presented for conditional asset pricing can easily be applied to tactical asset allocation strategies. At the conditional level, one needs conditionally expected returns, conditional covariances and conditional variances as inputs into the allocation program. The above approach can be used to do this.

10. Multirisk formulations

While most of our focus is on the single source of risk model, asset pricing theory has been generalized to multiple sources of risk in important papers by Ross (1976, Journal of Economic Theory), Sharpe (1982), Merton (1973, Econometrica) and Long (Journal of Financial Economics, 1974).

The intuition of these models is that assets have exposures to various types of risk: inflation risk, business-cycle risk, interest rate risk, exchange rate risk, and default risk. It is difficult to capture all of these risk measures with the beta of the CAPM. The multirisk models have multiple betas. Instead of running a regression of the asset return at time t on the market return at time t, we run a regression of the asset return at time t on various "factors" at time t, like the change in the interest rate. The betas from this augmented regression are sometimes called factor loadings, risk sensitivities or risk exposures.

The basic idea of the CAPM is maintained. The higher the exposure the greater the expected return on the asset.

Multifactor asset pricing formulations which tried to explain average returns with average risk loadings in Roll and Ross (1980, Journal of Finance) and Chen, Roll and Ross (1986, Journal of Business). However, these studies assume that risk is constant, risk premiums are constant and expected returns are constant.

Ferson and Harvey "The Variation of Economic Risk Premiums" (P5) examines a model which uses multiple factors but lets all the parameters of the model shift through time. Ferson and Harvey "The Risk and Predictability of International Asset Returns" (P21) extends the dynamic factor model to an international setting. Harvey "Predictable Risk and Returns in Emerging Markets" (P32) explores a similar formulation in emerging capital markets.

Acknowledgement

Much of the material for this lecture is drawn from Douglas Breeden, "Capital Asset Pricing Model: Tests and Extensions".


BA 350 Index Page
Campbell Harvey's Home Page