Copyright 1997 by Campbell R. Harvey and Stephen Gray. All rights reserved. No part of this lecture may be reproduced without the permission of the authors.
Latest Revision: January 4, 1997
10.0 Objectives:
After completing this class, you should be able to:
10.1 Introduction
In this class we address the question of how a firm should raise funds to finance its investments. There are two alternative classes of the source of funds.
Equity funds can be raised by issuing shares to shareholders who then have an ownership interest in the firm. Debt funds can be raised by borrowing from a bank or by issuing bonds. The lenders or bondholders have a creditor relationship with the firm. The firm's financing decision is whether to raise all funds by equity issues; to use only debt issues; or, to use a combination of the two. Under standard economic assumptions the combination of debt and equity chosen by a firm does not affect the market value of the firm. That is the debt/equity decision is irrelevant to the value of the firm. This is the famous Modigliani and Miller irrelevance proposition, one of the cornerstones of modern finance.
When standard economic assumptions are relaxed to include corporate taxes, and in particular deductibility of interest expenses for tax purposes, then a levered firm (one with debt) will always be worth more than an unlevered firm. When personal taxes are admitted in addition to corporate taxes there are a wide range of circumstances under which the tax advantage of debt disappears and we can arrive back at the Modigliani and Miller irrelevance proposition.
Since the notation becomes quite extensive when examining these issues, we begin with a reference table that defines the various symbols used in the analysis. The terms in the table are defined throughout the text. In general, the superscript denotes whether the symbol applies to a levered or an unlevered firm and the subscript refers to whether the symbol applies to (1) stocks or bonds, or (2) the existing assets of the firm or the new project under consideration, and so on.
| Symbol |
Unlevered Firm |
Levered Firm |
| Value of Firm |
VU |
VL |
| Value of Shares (Equity) |
EU |
EL |
| Value of Bonds (Debt) |
- |
DL |
| Required Return on Shares |
reU |
reL |
| Required Return on Bonds |
- |
rd |
| Perpetual Coupon Payment |
- |
C |
| Average Cost of Capital |
r*U = reU |
r*L |
| Corporate Tax Rate |
t |
t |
| Risk of Existing Assets |
ßaU |
ßaL |
| Risk of New Project |
ßpU |
ßpL |
| Required Return of Existing Assets |
raU |
raU |
| Required Return of New Project |
rpU |
rpU |
10.2 Dividends: An Introduction
There are many reasons for paying dividends and there are many reasons for not paying any dividends. As a result, dividend policy is controversial.
The term dividend usually refers to a cash distribution of earnings. If it comes from other sources, it is called a liquidating dividend. It mainly has the following types:
10.3 How Do Firms View Dividend Policy
In a classic study, Lintner surveyed a number of managers in the 1950's and asked how they set their dividend policy. Most of the respondents said that there was a target proportion of earnings that determined their policy. One firm's policy might be to pay out 40% of earnings as dividends whereas another company might have a target of 50%. This would suggest that dividends change with earnings. Empirically, dividends are slow to adjust to changes in earnings. Lintner suggested an empirical model whereby changes in dividends are linked to the level of the earnings, the target payout and the adjustment rate. He asserts that more "conservative" companies would be slower to adjust to the target payout if earnings increased. The following, from Brealey and Myers, details his research.
| 10.4 Dividend Policy
Suppose that a firm always stuck to a target payout ratio. Then the dividend payment in the coming year (DIV1) would equal a constant proportion of earnings per share (EPS1). DIV1 = target dividend = (target ratio) EPS1 The dividend change would equal DIV1 - DIV0 = (target change) = (target ratio) EPS1 - DIV0 A firm that always stuck to its payout ratio would have to change its dividend whenever earnings changed. But the managers in Lintner's survey were reluctant to do this. They believed that shareholders prefer a steady progression in dividends. Therefore, even if circumstances appeared to warrant a large increase in their company's dividend, they would move only partway toward their target payment. Their dividend changes therefore seemed to conform to the following model: DIV1 - DIV0 = (adjustment rate) (target
change) = The more conservative the company, the more slowly it would move toward its target and, therefore, the lower would be its adjustment rate.
|
10.5 MM Dividend Irrelevancy without Personal Taxes
Under the assumptions of homogeneous expectations and perfect market, the Miller and Modigliani (MM) dividend irrelevancy proposition asserts:
While dividends are relevant, the dividend policy is irrelevant.
This proposition is perhaps best understood by studying two examples:
| Example 10.6
Suppose a firm, with 100 shares of stocks, has cash flows of $100 in perpetuity. Assume the discount rate is 10%. Consider the following dividend policies of the company:
1. Pay $1 dividend each year. The stock price should be
2. Pay $2 dividend next period and pay the remainder afterwards To pay a $2 dividend, the company has to issue a debt of $100 next year. As a result, it also obliged to make interest payments of $10 = 10% x $100 in perpetuity starting from year 2. This implies that it has only $90 leftover for dividends, or $.90 per share. So, the price will be:
which is the same price.
3. Pay each shareholder 1 share of stock today The firm then has 200 shares of stocks outstanding today. Since each entitles only $.50 dividend, it must sell at
However, each original owner now has two shares of stock, his or her wealth is 2 P0 = $10 so it will remain unchanged. |
| Example 10.7
Suppose an all-equity firm has $2,000 cash flow residual (cash flow minus net investment). If the firm's value, including the $2,000 residual, is $42,000 and has 1,000 shares of stocks outstanding, consider two dividend policies of the firm: 1. Pay $2 dividend Ex-dividend The price is $40,000/1,000 = $40, so shareholder's wealth is $42. 2. Pay $3 dividend and raise $1,000 in new equity Ex-dividend price is ($39,000 / 1,000) = $39; $39 + $3 = $42 and remains unchanged. |
10.8 Summary of Factors That Could Affect Dividend Policy
Given that the firm's investment policy is fixed, MM show that the dividend policy is irrelevant. However, if capital market imperfections (e.g., taxes) are important or if dividend announcements signal new information, dividend policy will be relevant. In fact, there are important factors in dividend policy decision that are against high dividend payout and factors are in favor of high dividend payout and those that may affect dividend payout either way. A list of them is:
Factors Against High Dividend Payout
Factors Favoring High Dividend Payout
Information Content of Dividends
Other than paying dividends, a company has alternatives
Personal Taxes
Before the Tax Reform Act of 1986, dividends and capital gains were taxed at different rates. Under the old laws, dividends were taxed as ordinary income (tax rate Tdiv of 50%) but you were only taxed on 40% of the capital gains (Tcapgain tax rate of 20%).
Under the old system, it seemed like individuals should prefer capital gains because
Tcapgain < Tdiv.
Second, you are not taxed on the capital gain until it is realized. So you can defer your taxation.
Under the Tax Reform Act of 1986 dividends and capital gains are treated symmetrically. Beginning in the 1988 tax year, the rate of taxation on both dividends and capital gains is a maximum of 28%. With the new legislation, it is more difficult to make the argument that corporations should not pay dividends because investors prefer capital gains, although the tax deferrment of capital gains still affects dividend payout.
One should also note that there are many large institutional investors that are tax exempt -- like pension funds. For these institutions, it is not even possible to tell a story about tax deferral. The institutions should be indifferent between a high dividend paying stock and a low dividend paying stock.
The only way to determine whether there is a tax effect makes dividend policy relevant is to empirically examine the data to see which group dominates the data. For example, Black and Scholes (1974) formed portfolios of stocks based on dividend payout ratios. Each of these portfolios was adjusted for risk with the Capital Asset Pricing Model. Black and Scholes wanted to see if there was any significant difference in total rates of return across portfolios that was related to dividend policy. There results showed that there was no significant difference. This implies that the market does not reward any particular dividend policy.
The bottom line on the tax issue depends on who the marginal investor is in the market. If the marginal investors are large tax exempt institutions (which is likely to be the case), then they will eliminate any tax effect. If one stock is somehow rewarded for a particular dividend policy, the pension funds will buy in and drive the price up until that particular firm is no different from any other firm in the same risk class.
10.10 Transaction Costs
First, the investor must incur the transactions costs of reinvesting the dividend income. Second, the firm may have to pay for floatation costs (if dividend is financed by new equity) or some fees for borrowing.
10.11 Tax Reasons
The main item here is the fact that a large pool of investors are institutions which are tax-exempt. If this is not the case, such as when a large portion of a company is still held by the family of the founder, then dividend policy may be adjusted to maximize their after tax wealth.
10.12 The Clientele Effect
There are groups of individuals with different preferences for how they get the cash flows from the firm. Some shareholders may prefer stocks that do not pay dividends. Other shareholders may prefer stocks that pay a regular dividend. Although we have seen how people can construct their own dividend policy, there are some that "prefer" -- for whatever reason -- a certain type of dividend policy.
Investors will form their well-diversified portfolios of stocks to have the desired dividend policy. In equilibrium, no firm can affect its value by changing its dividend policy. If a firm did change the policy, it would be dropped by one clientele and picked up by another. Clearly, one clientele is as good as another. All clienteles would prefer not to be constantly rebalancing their portfolios as firm switch policies. Rebalancing is expensive due to transactions costs. Hence, all investors transactions costs are minimized if the firm maintains a stable dividend policy.
10.13 Information Content of Dividends
There may be information content to dividends. The dividend may be a signal to the public of the management's anticipations for future policy of the firm and prospects. If there is new good information, then managers may signal this information to the public by raising dividends. There is a reluctance to lower dividends because managers want the dividends to represent expectations of the future value of the firm.
An obvious question is why don't the managers inform the public about new prospects by press releases or other non-dividend related methods? In fact, the managers do make use of the press to announce new prospects. The problem is credibility. Why should the public believe them? Furthermore, there is an obvious bias because it is unlikely that they will phone a reporter to tell them bad news. The dividend is a more credible means of conveying information because it is costly to the firm. The more costly the signal the more believable it is.
10.14 Capital Structure: An Introduction
There are many methods for the firm to raise its required funds. But the most basic and important instruments are stocks or bonds. The firm's mix of different securities is known as its capital structure. A natural question arises: What is the optimal debt-equity ratio? For example, if you need $100 million for a project, should all this money be raised by issuing stocks, or 50% of stocks and 50% of bonds (debt-equity ratio equals 1), or some other ratios?
Modigliani and Miller (MM) showed that the financing decision doesn't matter in perfect capital markets. Their famous Proposition I states that the total value of a firm is the same with whatever debt-equity ratio (assuming no taxes). If this is true, the basic exercise in capital budgeting (in Bond Valuation) can be directly applied to project evaluation for firms with different debt-equity ratios. Remember that we have implicitly assumed firms are all-equity financed in previous lectures. However, in practice, capital structure does matter. Then why do we bother to learn the MM's theory? This theory is valid under certain conditions. If the theory is far from true, so are the conditions. An understanding of the MM's theory helps us to understand those conditions, which, in turn, helps us to understand why a particular capital structure is better than another. In addition, the theory tells us what kinds of market imperfection we need to look for and pay attention to. The imperfections that are most likely to make a difference are taxes, the costs of bankruptcy and the costs of writing and enforcing complicated debt contracts.
10.15 MM Proposition I and Proposition II: No Tax Scenario
MM Proposition I concerns the irrelevancy of capital structure to the value of the firm. Notice that in what follows financial instruments are assumed to take only two forms: stocks and bonds. In this set up, the value of a firm is defined as:
VL = EL + DL
where DL is the market value of the levered firm's debt and EL is the market value of the levered firm's equity.
| 10.16 Examples
Suppose a firm has $10 million debt and 5 million shares of stock. Assume the stock sells at a market price of $20, then VL = 10,000,000 + 5,000,000 (20) = $110,000,000
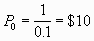
Suppose a firm earns $100 in perpetuity. It is all-equity with 100 shares of stock. If each sells for $10, the value VU = 100 ($10) = $1,000 Now assume the CEO suddenly decided the firm should issue $500 dollars of debt. The equilibrium price of the stock will drop to $5 per share and so the value of the levered firm: VL = 500 + (100 x 5) = $1,000 the same as before. Why should the stock price drop to $5 per share? To understand it, suppose you own one share of the stock. Case 1. Unlevered: Assume the firm pays $1 dividends in perpetuity and the interest rate is 10%. You are willing to pay $10 for the stock because P0 = $1.00 / 0.1 = $10.00 Case 2. Levered: After leverage, the firm has to pay interest, $50 =500 x 10%, on the $500 debt each period. So it can only pay $0.50 dividends in perpetuity. As a result, the price for the stock is P0 = $0.50 / 0.1 = $10.00 Assume the debt money was distributed to you today from the CEO, that is $5 per share, then you still have in total $10. So, for you, as a shareholder, you don't care what capital structure the firm has. |
To obtain MM Proposition I, we make assumptions:
No transaction cost (taxes or bankruptcy costs)
10.17 MM Proposition I
The value of the levered firm, VL, must be equal to the value of the unlevered firm, VU.
The firm's market value and average cost of capital are completely independent of the capital structure that the firm chooses. That is:
VL = VU
where
10.18 MM Proposition II
As an investor, you are concerned about the expected return on your money, so you ask: what happens to the stock's expected return under different debt-equity ratios?
To answer the above question, let us define r*L as the cost of capital to a levered firm, or the overall required rate of return:
r*L = (Expected earnings to be paid to investors) / (Value of the firm)
| Example 10.19
If Intel is expected to earn $1 billion next year and its value is $12 billion.
|
Now let
Then the expected earnings to be paid to all investors:
Expected earnings = (Earnings to bondholders) + (Earnings to Shareholders) = rdDL + reEL
Dividing DL + EL on both sides we get:
![]()
Solving for reL we have the MM Proposition II.
The expected return on equity is a linear function of the debt-equity ratio in the form:
![]()
Notice that, by MM Proposition I, r* stays constant with different capital structures. In particular, it represents the expected return when the company is all-equity financed. Since the expected return on risky assets is generally greater than the riskless rate, we know r*L > rd is generally true as well. Thus, MM Proposition II implies that, in general, the higher the debt-equity ratio, the higher the expected return on equity.
The expected rate of return on the stock or equity of a levered firm (reL) equals the average cost of capital plus a risk premium equal to the debt-equity ratio times the spread between r*L and rd that is,
![]()
10.20 MM -- Graphical Representation
In a world with no corporate taxes, the MM Propositions can be represented graphically as follows:

| Example 10.21
Two firms (L and U) are the same in all respects except capital structure. Firm L has a total market value of $15,000, a debt-equity ratio of one, and an interest rate on its perpetual bonds of seven percent. Firm U has a total market value of $11,000 and is unlevered. The income before interest is $2,000 for each firm, and there are no corporate taxes. Can costless arbitrage profits be earned, and if so how? Be specific about the arbitrage transactions and the amount of profit earned. In which directions will prices move as a result of the arbitrage activity, and when will the arbitrage activity stop? Analysis: We know from the Modigliani and Miller irrelevance proposition that VU = VL Here the levered firm has a market value of $15,000 and the unlevered firm has a market value of $11,000, implying that costless arbitrage profits can be earned. To capture these profits, we sell ø percent of the levered firm's shares, sell ø percent of the levered firms bonds, and buy ø percent of the unlevered firm's shares. This arbitrage has the following payoffs:
We note that since
that
Thus C = rd DL = 0.07 (7,500) = $525. Costless arbitrage profits can be earned under this arrangement, so the market cannot be in equilibrium. In the above arbitrage transactions, ø is a value between 0 and 1, so the amount of arbitrage profit depends on this proportion. The arbitrage activity causes the levered firm share price to fall and the unlevered firm share price to rise and stops where the net investment cost in the above table equals zero or where VL = VU. |
10.22 MM Proposition I and Proposition II: With Corporate Taxes
In the real world, corporations are taxed at rates as high as 34%. However, there is a quirk in the US tax code that only those earnings after interest payments are taxable. This is one of the most important reasons for firms to use debt financing. To understand it, let us first re-examine our previous Example.
| Example 10.23
Recall the example of a firm, with 100 shares of stocks, which has pretax cash flows of $100 in perpetuity. Assume the discount rate is 10%. The tax rate is 34%. Consider the following:
Case 1. Unlevered: The earnings after taxes are $66, so the firm can pay only $0.66 dividends in perpetuity.
Case 2. Levered: After leverage, the firm has interest payments of $50 each period. It pays taxes on the remaining $50 of income. After paying taxes, it can pay $0.33 dividends in perpetuity. So
|
Notice that the value with leverage has increased from $660 to $830.
Where does the extra amount,
$170 = $830 - $660, come from? Intuitively, the value of the firm is a
pie. It is sliced between the owners of the firm (shareholders and bondholder,
if any) and the government. In the unlevered case, the government takes
34% away. But in the levered case, only 50% of the pie is taxable and so
the government effectively takes only 17%. The total pie is the present
value of the earnings, $1000. So the government takes 17% x $1000 = $170
less in the levered case than in the unlevered case. This amount adds to
the value that the owners of the firm can enjoy:
![]()
where the tax shield is the tax rate multiplied by the present value of the dollar interest payments.
10.24 MM Proposition I (with corporate taxes)
The general case is that the value of the levered firm is:
![]()
and the value of the unlevered firm is computed from the formula:
![]()
where t is the corporate tax rate; EBIT is the expected earnings before interest and taxes; and r*U is the discount rate for an all-equity firm (after tax).
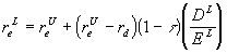
10.25 MM Proposition II (with corporate taxes)
The expected rate of return on stock of a levered firm (reL) equals the cost of capital of an otherwise identical unlevered firm (reU) plus a risk premium equal to the debt-equity ratio (DL / EL) times the spread between reU and rd times one minus the tax rate, that is,
![]()
10.26 MM with Taxes -- Graphical Representation
In summary, in a world with corporate taxes, the MM Propositions can be represented graphically as follows:

| Example 10.27
Two firms L and U are the same in all respects except capital structure. Firm L has a total market value of $30,000, a debt-equity ratio of 0.6, and an interest rate on its perpetual bonds of six percent. Firm U has a total market value of $26,000 and is unlevered. The income before interest is $4,000 for each firm, and the corporate tax rate is forty percent. Can costless arbitrage profits be earned, and if so how? Be specific about the arbitrage transactions and the amount of profit earned. In which directions will prices move as a result of the arbitrage activity and when will the arbitrage activity stop? Analysis: The levered firm has a market value of $30,000 and a debt-equity ratio of 0.6. Now D L / E L = 0.6 implies that 0.6 D L = E L and since V L = D L + E L we have V L = E L+0 .6 E L or
Hence D L = V L - E L = $11,250. The coupon payment C is given by C = rdD L = 0.06 (11,250) = 675. We know from Modigliani and Miller (with corporate taxes) that V L = V U + t D L If the corporate tax rate is 40 percent, then 30,000 < 26,000 + .4 (11,250) = 30,500 so the levered firm is undervalued or the unlevered firm is overvalued or both. To capture the arbitrage profits, we sell a proportion of the unlevered firm's shares, buy a (1-t) proportion of the levered firm's bonds, and buy a proportion of the levered firm's shares. This arbitrage has the following payoffs:
Costless arbitrage profits can be earned under this arrangement, so the market cannot be in equilibrium. At the prices reported in the question, costless arbitrage profits of 500ø may be earned. The arbitrage activity causes the unlevered firm share price to fall and the levered firm share price to rise and stops where the net investment cost in the above table equals zero or where V L = V U + t D L. |
10.28 Modigliani and Miller With Corporate and Personal Taxes
The previous section established that the introduction of corporate taxes gives rise to a real advantage in issuing debt. In fact, a levered firm will always be worth more than an otherwise identical unlevered firm in the presence of corporate taxes. In this section we consider personal as well as corporate taxes.
In Miller's famous Debt and Taxes paper, he finds that there are a wide range of combinations of tax rates (personal and corporate) such that the tax advantage of debt disappears. For example, consider the case where the proceeds from stock are taxed differently to the proceeds from corporate bonds (interest income) at the personal level. In fact if the personal tax rate on the proceeds of stock is very small (or zero) and the personal tax rate on interest equals the corporate tax rate the gains from leverage will disappear. We will thus arrive back to the original Modigliani Miller irrelevance proposition -- the debt/equity decision is irrelevant to the value of the firm.
10.29 Ivestment Evaluation and Capital Structure
In this section, we consider how the capital structure issues introduced above impact upon investment decisions. In particular, we examine how to compute the required return for a particular investment under the assumptions that MM Proposition I with corporate taxes holds and that the firm has decided its target capital structure, DL* / VL.
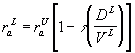
In a world where corporate taxes exist, the required rate of return on a risky project is given by

where rpU is the required rate of return on an unlevered firm in the same risk class as the project in question. That is, we calculate the return required for the risk involved in the project rpU (given by the CAPM) and then adjust this rate for taxes. In this sense, rpU is a pure required return which reflects only the risk of the project. It is not affected by tax considerations because there are no tax-deductible interest payments in the unlevered firm. This is consistent with the way we compute Net Present Values (NPVs). When we calculate the incremental cash flows of the project we do so on an after tax basis. It is only sensible therefore to calculate the NPV using an after tax required rate of return.
| 10.20 Example (Capital Structure Change):
A company currently has a market value of $4 million, 25 percent of which is bonds. Its average cost of capital is 18 percent, and its corporate tax rate is 40 percent. The company is evaluating a $800,000 investment project which is expected to generate after-tax cash flows of $176,000 a year indefinitely. The project is in the same risk class as the existing assets of the firm. If the project is accepted, it will be financed such that the post-investment debt ratio is 0.5. The riskless rate of interest is 8%. Should the project be accepted? Analysis: We note that the required rate of return for the project in this levered firm (rpL)given by
where rpU is the required return on an identical project in an unlevered firm. Plugging in the unknowns here we have 18 = rpL [1 - 0.4 (0.25)] which implies that rpU = 20%. Now with the capital structure change we calculate our new required rate of return using DL* / VL = 0.5
Thus the NPV is given by NPV = 176,000 / 0.16 - 800,000 = $300,000 and therefore we would accept the project. |
| 10.31 Example (Risk Change):
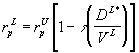
A company currently has a market value of $4 million, 25 percent of which is bonds. Its average cost of capital is 18 percent, and its corporate tax rate is 40 percent.. The company is evaluating a $800,000 investment project which is expected to generate after-tax cash flows of $176,000 a year indefinitely. The project is 40 percent riskier than the firm's average operations. The riskless rate of interest is 8 percent. Should the project be accepted? Analysis: Because the new project is not in the same risk class as the existing assets of the firm, we subscript returns and betas with p if they relate to the new project and a if they relate to the existing assets of the firm. We note that the required rate of return of the current assets of the levered firm raL is given by
Plugging in the unknowns here we have 18 = raU [1 - 0.4 (0.25)] which implies that raU = 20% Now raU is the required return on an all equity firm in the same risk class as our existing levered firm and hence raU is given by the CAPM:
which implies that
Now the beta of our project (ßpU) is 40% higher than the beta of the existing assets (ßaU) thus
and hence
Plugging this back into the formula for required return we find
Thus NPV= 176,000 / 0.2232 - 800,000= -$11,469.53 and therefore we reject the project. |
| 10.32 Example (Risk Change/Capital Structure
Change):
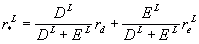
A company currently has a market value of $4 million, 25 percent of which is bonds. Its average cost of capital is 18 percent, and its corporate tax rate is 40 percent. The company is evaluating a $800,000 investment project which is expected to generate after-tax cash flows of $176,000 a year indefinitely. The project is 40 percent riskier than the firm's average operations, and, if it is accepted, it will be financed such that the post-investment debt ratio is 0.5. The riskless rate of interest is 8 percent. Should the project be accepted? Analysis: Once again, a p subscript denotes the project being investigated and an a subscript denotes the existing assets of the firm. We note that the required rate of return of the current assets of this levered firm raL is given by
Plugging in the unknowns here we have 18 = raU [1 - 0.4 (0.25)] which implies that raU = 20%. Now raU is the required return on an all equity firm in the same risk class as our levered firm and hence raU is given by the CAPM:
which implies that
Now the beta of our project (ßpU) is 40% higher than the beta of the existing assets (ßaU) thus
and hence
When we plug this back into the formula for required return we also note that the new value of DL / VL = 0.5 and hence:
and NPV = 176,000 / 0.1984 - 800,000 = $87,096.77 we therefore accept the project. |
In this section we seek to evaluate a new investment opportunity for the firm where the appropriate discount rate is unknown. We would be able to compute this discount rate directly from the CAPM if the appropriate beta for the new project was known, however in this section we consider the case where the beta of the new project is unknown. Often, however, we will be able to identify another company that deals primarily in the industry from which the new project is drawn. It is a simple matter to use historical series of (1) market returns and (2) returns from the shares of that company to compute the beta of the shares or equity of the company. This can be done via a simple OLS regression.
This equity beta is a measure of the risk of holding shares in the particular company and comprises two risks. First, there is an inherent business or asset risk from holding the particular type of assets owned by the firm. For example, the airline industry is inherently riskier than the soda manufacturing industry, so the assets of United Airlines would have a higher beta than the assets of Coca-Cola. Second, there is leverage risk stemming from the company having debt in its capital structure. This reflects the fact that equity holders have a residual claim on the assets of the firm. In the event of bankruptcy, the debtholders must be paid out in full before the equityholders receive any payment.
Moreover, consider a new firm that wants to buy a single asset that costs $100 and will either generate a profit of $10 or a loss of $5 over the first period. If the firm finances this investment with ten $10 shares, each share will either be worth either $11 or $9.50 at the end of the period. If, however, the firm borrows $50 and issues only five shares, each share will be worth either $12 [(100+10-50)/5] or $9 [(100-5-50)/5]. Clearly, shares in the levered firm are riskier in the sense that the distribution of possible outcomes is more diverse. Since the equityholders face higher risk, they will demand a higher required return. However this simple example ignores the tax benefits from issuing debt. That is, the firm will have to pay interest to the debtholders, but these interest payments are tax deductible. That is, there are two effects:
The strategy for computing the appropriate beta to use in evaluating the project is to first determine the beta of a related company’s equity. Then unlever that beta (remove the effects of leverage and tax subsidies) leaving just a beta that reflects the pure business risk of that type of asset. Finally re-lever this pure beta to incorporate the leverage and tax subsidy effects applicable to our firm, and use the CAPM to find the appropriate required return for the project.
10.34 Unlevering Equity Betas
This section demonstrates how to remove the effects of leverage (having debt in the capital structure) from the beta of equity in a levered firm (ßeL) leaving a beta that reflects the pure business risk of the assets (ßeU).
From Modigliani and Miller Proposition 2 (with corporate taxes) we have
![]()
Substitute in from the CAPM
![]()
and
![]()
and we find that

where ßeU is the beta of shares
of an unlevered firm and ßeL is the
beta of shares of a levered firm with
debt/equity ratio of DL / EL.
| Example 10.35
A firm has a market value of $100 million, 20% of which is bonds. The company is considering a $10 million investment project that is expected to earn after-tax cash flows of $3 million per year for the next 8 years. The beta of the firm's shares is 1.0. The expected return on the market is 12% and the T-Bill rate is 4%. The corporate tax rate is 40%. This project is 20% riskier than the firm's average operations. If the project is accepted, the post-investment debt ratio will be 0.4. Should the project be accepted? Step 1: The decision rule for determining whether any project should be accepted or rejected is based on NPV. The first step is always to check what information is required to calculate the NPV. This will involve two components: a series of cash flows and an appropriate discount rate. In this case, we know the cash flows, but the appropriate discount rate is one which incorporates (1) the risk of this kind of project, and (2) the effect of the tax deductibility of debt in this levered firm. We call this discount rate rpL and note that it is not yet known. We can, therefore, express the NPV of the project as: Step 2: From step 1, we are missing a discount rate and there are two obvious places to look. The CAPM is specifically designed to tell us what discount rate to use if we know the appropriate beta, ßpL:
Alternatively, if we know the discount rate appropriate for this type of project in an unlevered firm, we can make an adjustment for the tax deductibility of debt:
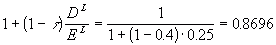
Step 3: If we decide to use the CAPM in step 2, we need to compute ßpL. This can be done by adjusting some other ß (which we know) for differences in risk and capital structure. In this case, we know that the beta of the firm's equity with the current capital structure, ßeL*, is 1.0, where L* denotes that the current capital structure is different from the post-investment capital structure if the project is accepted. The first thing we can do is remove the effects of the tax deductibility of debt, leaving us with a beta that reflects only the risk of the current assets of the firm. That is, we want to unlever this beta:
where
Since we have an unlevered company beta of 1, our levered beta is 0.8696 Step 4: We know that the risk of the project is 20% greater than the risk of the existing assets of the firm, so
Step 5: At this point, note that we can find the required return on our project in an unlevered firm from the CAPM:
Step 6: Now we can return to step 2 and use the second formula:
Step 7: Finally, we can return to step 1 and compute the NPV of the project:
Since the NPV is positive, we would accept the project. |
10.36 Implications of the MM Theory
The market value of a levered firm equals the market value of an unlevered firm plus the present value of interest tax shields. In order to get the simple expression above, we have assumed that the debt is perpetual. More generally, the tax shield term would be the present value of the interest tax shields.
The implication of the model with corporate taxes is that the value of the firm is maximized when it is financed entirely by debt. This is not a very attractive implication for the model. Clearly, no firm is financed 100% by debt. There are a number of real world constraints that need to be considered.
Each of these points suggests that the 100% debt policy may not be optimal for a firm. If we look to the market, the average debt to value ratio is less than 40%. Furthermore, a survey of 768 of the largest industrial firms shows that 126 (16%) have no debt in their capital structures. This empirical evidence suggests that the 100% debt policy is clearly not what is observed. The wide range of debt-equity ratios in the market could indicate that the original proposition about the irrelevance of the capital structure may have more merit than we initially gave it.
10.37 Bankruptcy Costs
There are many costs involved in bankruptcy. The direct costs are legal fees and court costs. The indirect costs arise from discontinued operations, the hesitancy of customers to purchase the product and the unwillingness of suppliers to extend any credit. These costs make it unlikely that a firm will push its debt-equity ratio very high. If we take the bankruptcy costs into account, then there may be an optimal capital structure where the marginal tax advantage equals the marginal bankruptcy costs. Note that the marginal bankruptcy costs may be different across firms. This may explain why all firms do not have the same level of debt-equity.
10.38 Exhausting the Benefits
Obviously, if the firm is unlikely to earn taxable profits, the effective tax shield is small. As a result, it should not borrow.
10.39 Conflicts of Interest
Once the debt is outstanding, shareholders have the incentive to take actions that benefit themselves at the expense of the bondholders. So if there is debt outstanding, the objectives of maximizing the value of the firm and the value of the equity are not identical. Some examples of bondholder-shareholder conflicts are: claim dilution, dividend payout and asset substitution. Let's examine in more detail some of these conflicts.
Consider claim dilution. With debt outstanding, stockholders have incentives to issue claims of equal or senior priority. The proceeds from the "new" debt issue will be greater the higher the priority of the new debt. The claim dilution increases the risk of the "old" debt and its market value falls. The combined value of the new and old debt is fixed. By making new debt an equal or higher priority, the value of the old debt falls and the proceeds from the new debt issue rises. Claim dilution benefits the stockholders at the expense of the "old" bondholders.
But the bondholders are not stupid. The price of the bonds equals the present value of the expected cash flows. The bondholders include the affects of conflicts of interest in estimating cash flows and pricing the debt. Bondholders only pay for what they expect to get.
Since the conflicts of interest between stockholders and bondholders reduce the price of the debt, the stockholders bear all of the costs of the conflict. Even though the shareholders bear the costs of the conflict, there is still an incentive to extract value or expropriate from the bondholders -- after the debt is outstanding.
Since the stockholders bear the costs that arise from the conflicts of interest, they have an incentive to minimize the agency costs. Bond covenants are detailed enforceable contracts that reduce agency costs by restricting the stockholders' actions after the debt is issued. The covenants may restrict the production and investment policy (e.g., mergers, sale of certain assets and lines of business). The covenants may restrict the financial policy of the firm (e.g., dividend payouts, priority and total debt). Furthermore, there is usually a provision for auditing. The bond covenants will reduce but will not eliminate these agency costs. Note that there are also costs involved in monitoring the firm's actions.
10.40 Capital Structure as Options
I mentioned that both the debt and the equity of the firm could be considered options. Let's explore this idea in some more detail. The bondholders are promised payments of $A next period. If default occurs, then the bondholders own the firm. The stockholders receive all residual cash flows after the payments to bondholders. Consider the distribution of the value of the firm.

Now consider the payoff schedule. Suppose the debt has time to maturity, T. The standard deviation of the firm's value is sigma.
| Payments to: |
If V < A |
If V > A |
Position |
| Stockholders |
0 |
V-A |
Call with Strike A, |
| Bondholders |
V |
A |
V - Call |
| Total |
V |
V |
V |
The call option is a function of the exercise price, A, the time to maturity, T, and the standard deviation of the return on the underlying asset, sigma. The payments to the stockholders and bondholders add up to the total cash flows of the firm.
Consider the position diagrams. The position diagram for the call option is straightforward.

Note that V represents the value of the firm at the expiration or final payment of the principal on the debt. This diagram indicates that the stockholders have a call option on the value of the firm. The payoff is determined by Max[0, V-A].
The position diagram for bondholders is slightly more complicated.

The bondholders hold the value of the firm and write a call option (the shareholders buy it in the form of common equity). Combining the payoffs of the long position in the value of the firm with a short position in the call delivers the above diagram. The payoff stream is Min[V, A].
Acknowledgment
Some of the material for this lecture is drawn from Richard Ruback's note, "Dividend Policy."