Campbell R. Harvey,
Fuqua School of Business, Duke University, Durham, NC
National Bureau of Economic Research, Cambridge, MA
Latest Revision: December 30, 1999
Overview
The topic of real options applies the option valuation techniques to capital budgeting exercises in which a project is coupled with a put or call option. For example, the firm may have the option to abandon a project during its life. This amounts to a put option on the remaining cash flows associated with the project. Ignoring the value of these real options (as in standard discounted cash flow techniques) can lead to incorrect investment evaluation decisions.
Objectives
After completing this module, you should be able to:
Introduction to Real Options
In many project evaluation settings, the firm has one or more options to make strategic changes to the project during its life. For example, a natural resource company may decide to suspend extraction of gold at its mine if the price of gold falls below the extraction cost. Conversely, a company with the right to mine in a particular area may decide to begin operations if the price rises above the cost of extraction. This occurred during the Gulf war when a number of oil fields in Texas and Southern California (where the deposits are such that the cost of extraction is relatively high) began operations when the price of oil rose.
These strategic options, which are known as real options, are typically ignored in standard discounted cash flow (DCF) analysis where a single expected present value is computed. These real options, however, can significantly increase the value of a project by eliminating unfavorable outcomes. Consider the following stylized example to illustrate the value of an option to abandon a project during its life.
| Example: Abandonment Options
Suppose a clothing company is considering introducing a new line of fashion. The project has a two year life. An initial investment of $50 (cash flows are in thousands) is required to fund a year-long development phase. At the end of a year, a further $50 is required for production and cash inflows from sales (net of selling expenses) will occur at the end of the second year. There is some uncertainty about the amount of the cash inflows since it is unclear whether the market will embrace the new line. The firm currently believes that there is a 70% chance that the new line will be a winner. They also believe that the direction of fashions will become more apparent over the next year. In particular, there is an 80% chance that the direction over the next year will continue over the subsequent year. This uncertainty, and the associated cash flows, are represented in Figure 1. Suppose also that the required return on projects of this type is 10%. Standard capital budgeting techniques involve computing the expected net present value (NPV) as:
in which case the project would be rejected. Consider, however, the case where the firm has the option to abandon the project after the first year. In this case, the second phase of the project would only proceed if the market direction was favorable over the first year. If the market direction was unfavorable, the firm would abandon the project, since proceeding would cost a further $50 and the expected present value (at time 1) of the cash inflows is (0.2 (90)-0.8 (100)) / 1.1 = -$56.36. Therefore, when the option is considered, the expected NPV is:
and the project should proceed. |
Whereas this example serves to establish that real options are important in project evaluation, one important detail has been swept under the rug. When the option is considered, the project becomes less risky because the possibility of the large negative outcome is eliminated. Since the project is less risky as a result of the option, a lower discount rate should be used. This would make the project even more attractive than the above analysis suggests. The issue of how to properly adjust the discount rate is dealt with below after considering a range of common real options.

Figure 1: Example: Abandonment Option
Types of Real Options
Input Mix Options or Process Flexibility
The option to use different inputs to produce the same output is known as an input mix option or process flexibility. These options are particularly important in agricultural settings. For example, a beef producer will value the option to switch between various feed sources, preferring to use the cheapest acceptable alternative.
These options are also valuable in the utility industry. An electric utility, for example, may have the option to switch between various fuel sources to produce electricity. In particular, consider an electric utility that has the choice of building a coal-fired plant or a plant that burns either coal or gas.
Naive implementation of discounted cash flow analysis might suggest that the coal-fired plant be constructed since it is considerably cheaper. Whereas the dual plant costs more, it provides greater flexibility. Management has the ability to select which fuel to use and can switch back and forth depending on energy conditions and the relative prices of coal and gas. The value of this operating option should be taken into account.
Output Mix Options or Product Flexibility
The option to produce different outputs from the same facility is known as an output mix option or product flexibility. These options are particularly valuable in industries where goods are typically bought in small batches or where demand is volatile. For example, consider a toy manufacturer's ability to cease producing a style of toy that has become unfashionable and quickly begin producing a popular new style of toy.
Abandonment or Termination Options
Whereas traditional capital budgeting analysis assumes that a project will operate in each year of its lifetime, the firm may have the option to cease a project during its life. This option is known as an abandonment or termination option. Abandonment options, which are the right to sell the cash flows over the remainder of the project's life for some salvage value, are like American put options. When the present value of the remaining cash flows falls below the liquidation value, the asset may be sold. Abandonment is effectively the exercising of a put option. These options are particularly important for large capital intensive projects such as nuclear plants, airlines, and railroads. They are also important for projects involving new products where their acceptance in the market is uncertain.

Figure 2
Temporary-Stop or Shutdown Options
For projects with production facilities, it may not be optimal to operate a plant for a given period if revenues will not cover variable costs. If the price of oil falls below the cost of extraction, for example, it may be optimal to temporarily shut down the oil well until the oil price recovers. This type of option is known as a temporary-stop or shutdown options. Shutdown options are also valuable in farming (where they may be exercised if the cost of fertilizing, watering and harvesting exceeds the sale price of the product) and real-estate development (where they may be exercised if the cost of construction exceeds rent revenues). Explicit recognition of this type of flexibility is critical when choosing among alternative production technologies with different ratios of variable-to-fixed costs.
Intensity or Operating Scale Options
Intensity or operating scale options involve the flexibility to expand or contract the scale of the project. For example, management may have the option to change the output rate per unit of time or to change the total length of production run time.
In order to obtain the option to expand production if demand increases suddenly, a firm may build production capacity in excess of the expected level of output. In this case, management has the right, but not the obligation to expand, and will exercise the option only if project conditions turn out to be favorable. Whereas the excess capacity will have an initial cost, the project with the option to expand is worth more than the project without the possibility of expansion, in which case the extra cost may be justified. Also, a firm may build a plant whose physical life exceeds the expected duration of use, thereby providing the firm with the option of producing more by extending the life of the project.
Conversely, many projects can be engineered in such a way that output can be contracted in future. For example, many projects can be modularized. Forgoing future expenditures by contracting a project is equivalent to exercising a put option. Since this put option has value, a project with an option to contract is worth more than a project without the possibility of contraction. Also, a firm may choose to construct a plant with high maintenance costs relative to construction costs. Management thereby gains the flexibility to reduce the life of the plant and contract the scale of project by reducing expenditures on maintenance in the future.
Option to Expand
Build production capacity in excess of expected level of output (so it can produce at higher rate if needed). Management has the right (not the obligation to expand). If project conditions turn out to be favorable, management will exercise this option.

Figure 3
A project with option to expand is worth more than project without possibility of expansion
Option to Contract
This is the equivalent to a put option. Many projects can be engineered in such a way that output can be contracted in future. Example--modularization of project. Forgoing future expenditures is equivalent to exercising the put option.

Figure 4 Option to Contract
A project with an option to contract is worth more than project without possibility of contraction.
Option to Expand or Contract (Switching Option).
This is the most general situation. It is equivalent to the firm having a portfolio of call and put options. Restarting operations when project currently shut down is a call option. Shutting down is a put option.

Figure 5
A project whose operation can be dynamically turned on and off (or switched to two distinct locations) is worth more than the same project without the flexibility to switch.
A flexible manufacturing system (FMS) is a good example of this type of option.
Other examples include the following:
Choose a plant with high maintenance costs relative to construction costs. Management gains the flexibility to reduce the life of the plant and contract the scale of project by reducing expenditures on maintenance.
Build plant whose physical life exceeds the expected duration of use (thereby providing the firm with the option of producing more by extending the life of project).
Initiation or Deferment Options
The option to choose when to start a project is an initiation or deferment option. For example, the purchaser of an off-shore lease can choose when, if at all, to develop property. Initiation options are particularly valuable in natural resource exploration where a firm can delay mining a deposit until market conditions are favorable. If natural resource companies were committed to producing all resources discovered, they would never explore in areas where the estimated extraction cost exceeded the expected future price at which the resource could be sold.
For example, a purchaser of an off-shore lease can choose when, if at all, to develop property. This option has significant value.
If the U.S. government required immediate development of leases:
This is also true for exploration in general. If natural resource companies were committed to produce all resources discovered, then they would never explore in areas where the estimated extraction cost exceeded the expected future price at which the resource could be sold.

Figure 6
Sequencing Options
The sequencing of projects is an important issue in corporate strategy. For example, successful marketing of consumer products often requires brand name recognition or brand equity. Suppose a firm is evaluating projects to produce a number of consumer products. It may be advantageous to implement the projects sequentially rather than in parallel. Pursuing the development of a single product, the firm can resolve some of the uncertainty surrounding its ability to establish brand equity. Once resolved, management has the option to proceed or not with the development of the other projects. If taken in parallel, management would have already spent the resources and the value of the option not to spend them is lost.
Intraproject vs. Interproject Options
Interproject options arise when the development of one project creates options that attach to other projects. Sequencing options, for example, are interproject options because the sequencing of projects creates options subsequent projects as the direct result of undertaking the initial project. Traditional capital budgeting analysis will miss this option because projects evaluated on stand-alone basis. Ignoring interproject options can lead to significant undervaluation of projects. The obvious example is research and development expenditure. The real value in R&D is in the options that are created to undertake other projects. Interproject options are created whenever management makes an investment that places the firm in a position to use new technology to enter a different industry.
Growth Options
The value of the firm can exceed the market value of the projects currently in place because the firm may have the opportunity to undertake positive NPV projects in the future. Standard capital budgeting techniques involve establishing the present value of these projects based on anticipated implementation dates. However, this implicitly assumes that the firm is committed to go ahead with the projects. Since management need not make such a commitment, they retain the option to exercise only those projects that appear to be profitable at the time of initiation. The value of these options should be considered in valuing the firm. Growth options are particularly valuable in infrastructure-based or strategic industries. For example, in the high-tech and software industries (where there are significant first-mover advantages) valuable growth options can be obtained through R&D expenditure and by creating strategic links with other industry players -- even though these activities may appear to be negative NPV investments when viewed in isolation.
Shadow Costs
Standard valuation techniques may overvalue some projects by failing to recognize the losses in flexibility to the firm that result from implementation. The acceptance of one project may eliminate options that attach to other projects. These shadow costs should be considered in project evaluation. For example, building a plant in a particular city eliminates the options to expand the capacity of plants in nearby cities.
Financial Flexibility:
Choice of capital structure can affect value of project. Like operating flexibility, financial flexibility can be measured by the value of the financial options made available to the firm by its choice of capital structure. Interaction between financial and operating options can be strong -- especially for long-term investment projects with a lot of uncertainty. The option valuation framework is particularly useful to the corporate strategist because it provides an integrative analysis of both operating and financial options associated with the combined investment and financing decisions.
| Example: Oil Extraction
Valuation of heavy oil asset. Deferral options are critical. In addition, production could be phased in over time. Conventional NPV will significantly undervalue these assets. Two operating options are important: The option to defer and the option of deferring expansion program. |
| Example: Precious Metal Mining
Four silver production sites, each with different layout and extraction technologies. The price of silver has been very volatile. To value firm based upon forecasts of silver prices (traditional NPV approach) could grossly underestimate the value. Value is enhanced by: (i) Operational flexibilities and Insight can be gained into the opening-up and shutting-down decision. If the mine is already open, it might be optimal to keep it open even when the marginal revenue from a ton of output falls below the marginal cost of extraction. Intuitively, the fixed cost of closing an operation might be needlessly incurred if the price rose in the future. The logic is just the opposite for the closing-down decision. Due to the cost of reopening the mine, the optimal decision might be to keep it closed until the commodity price rises substantially above the marginal cost of production. |
| Example: Pharmaceutical R&D
A drug company needed to value a new drug research and development project. There were four development phases:
|
Abandonment Options in Natural Resource Investments
Suppose your resource management company has a two-year lease over a small copper deposit and is deciding whether or not to mine the deposit. At the end of the lease, all rights to the property revert to the government. It is known that the deposit contains eight million pounds of copper. Mining would involve a one-year development phase that would cost $1.25 million immediately. The company would then pay all extraction costs to a subcontractor, in advance, at a rate of 85 cents per pound. This amounts to a cash payment of $6.8 million one year from now. Your company would then sell the rights to the copper recovered (8 million pounds) to a third party at the spot price of copper one year from now. Copper prices follow a process such that percentage price changes are normally distributed with mean 7% and standard deviation 20%, and the current price is 95 cents per pound.
What is the expected NPV of mining if the required return for copper mining projects is 10% and the riskless rate of interest is 5%?
Standard Expected NPV Analysis
Standard capital budgeting techniques would involve computing the present value of the expected payoffs from the mine over its life. This can be written (all figures in millions) as
![]()
where E[S1] represents today's expectation of the spot price of copper one year from now.
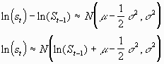
From the statistics, we know that if percentage price changes are distributed normally (with mean mu and standard deviation sigma) then

Now, the expected NPV of the project is
![]()
and the project has a negative expected NPV and would therefore this analysis says it should be rejected.
Option Analysis
Now note that your company has the option to abandon the project after the development phase. In this case, the mining phase will only proceed if S1 > 0.85. This is a simple call option on copper with strike price 85 cents and one year to maturity, and can be valued using Black-Scholes:
![]()
where

Hence, the value of this call option is
![]()
Since the company has 8 million of these options (one for each pound of copper) and the development phase costs $1.25 million, the value of the project, incorporating the option to abandon is
![]()
and the project should proceed. Analyzing the problem in an option valuation framework also enables a number of important statistics to be computed. Some examples are reviewed below.
The Probability that Extraction will Proceed
Why is the lease more valuable when the abandonment option is considered? The reason is that there is some chance that the second (extraction) phase of the project could be unprofitable. This will occur if S1 < 0.85 which is equivalent to ln(S1) < ln(0.85) = -0.1625. That is, the probability that extraction will proceed is
1 - pr[ln[S1] < -0.1625]
From the statistics, we know that if percentage price changes are distributed normally (with mean mu and standard deviation sigma) then

In this case,
![]()
in which case
![]()
Since we know that ln(S1) ~ is N(0.00129,0.04), we want to know the probability of getting a draw of less than -0.1625 from a N(0.00129,0.04) distribution. Using the normdist function in Excel yields a value of 0.33. That is, there is a 33% chance that the second (extraction) phase of the project will be unprofitable. When the abandonment option is included in the analysis, however, there is a 0% chance that the second phase will be unprofitable.
If copper prices fall enough so that the extraction would be unprofitable, the company chooses to let the call option lapse, and there are no cash flows beyond the initial $1.25 million development cost.
Shutdown and Restart Options in Natural Resource Investments
Finally, we consider how real options to shutdown and restart a mine can affect its value. Consider a gold mine that generates ongoing expenses while operating (e.g., labor and fuel costs) and a stream of profits that are linked to the (variable) spot price of gold. Also suppose that the firm can shut the mine down (if the price of gold falls sufficiently) and restart the mine (if the price of gold recovers sufficiently). There are, however, costs associated with shutdown (severance pay for workers, security costs for machinery) and restart (hiring new workers, refurbishing equipment). These costs play the role of the exercise prices of the respective options.
Figure 8 illustrates how these options affect the value of the mine.

Suppose the mine is currently open (so the steeper curve is relevant) and the spot price of gold is somewhere between P1 and P2. As the gold price falls, the value of the mine falls. In fact, as the gold price approaches P1 the mine is worth more closed (the flatter curve) than open because the revenues from the sale of gold are outweighed by the costs of operating the mine. However, it is still optimal to continue operating the mine because the savings from shutting down do not exceed the shutdown cost C. That is, we have an option to pay C to save a loss that has a present value that is less than C. Clearly, we would choose to let that option lapse. When the gold price falls below P1 , the present value of these savings exceeds C and the option should be exercised and mine shut down.
Now suppose the mine is shut. As the gold price rises, approaching P2, the mine is worth more open than closed because the revenues from the sale of gold are outweigh the costs of operating the mine. However, it is still optimal to keep the mine shut because the present value of the net operating revenues do not exceed the opening cost O. That is, we have an option to pay O to receive a net revenue stream that has a present value that is less than O. Clearly, we would choose to let that option lapse. When the gold price rises above P2, the present value of these net revenues exceeds O and the option should be exercised and mine restarted.
NPV Probability Distribution
A particularly useful diagnostic tool is the probability distribution of the NPV of the project, sometimes called an NPV Profile Plot. For this project, the NPV will be the present value of the cash inflow at the end of one year less the $1.25 million cost of the development phase. The first question is what discount rate should be used? Since this project is a copper mining project coupled with an option to abandon, the regular discount rate of 10% is inappropriate. This is because the project coupled with the option is less risky than a standard copper mining project.
As discussed in the options lecture, the option valuation framework is designed to avoid this issue. Instead of allowing the price of copper to increase at 7% and then discounting the resulting cash flows at an appropriate discount rate, the expected increase in the price of copper is adjusted so that the resulting cash flows can be discounted at the riskless rate of interest. This procedure is known as risk neutral valuation.
Acknowledgments
Some of the material for this lecture is drawn from Tom Copeland, Tim Koller and Jack Murrin, Valuation: Measuring and Managing the Value of Companies